
고(苦)란 전세(前世)의 악업(惡業)에 의(依)하여 받는 고통(苦痛)을 말한다.
업(業, Karma): 인과율, 인과의 연쇄 관계, 본디 행위를 뜻하는 말, 현재의 행위는 그 이전의 행위의 결과로 생기는 것이며 그것은 또한 미래의 행위에 대한 원인으로 작용한다. ※인과율: 모든 일은 원인에서 발생한 결과이며, 원인이 없이는 아무것도 생기지 아니한다는 법칙. ※인과(因果): 원인과 결과를 아울러 이르는 말.
의(依):의거, 기초, 근거, 인연(因緣)
※인연(因緣): 인(因)과 연(緣)을 아울러 이르는 말. 인은 결과를 만드는 직접적인 힘이고, 연은 그를 돕는 외적이고 간접적인 힘이다.
고통(苦痛): 몸과 마음의 괴로움.
전세(前世)는 장엄겁(莊嚴劫)에 해당한다.
장엄겁(莊嚴劫): 삼대겁(三大劫)의 하나, 과거의 대겁. ※장엄(莊嚴) 악한 것으로부터 몸을 삼가는 일.
※삼대겁(三大劫)
장엄겁(莊嚴劫): 과거의 대겁.
현겁(賢劫): 현세의 대겁.
성수겁(星宿劫): 미래의 대겁.
※대겁(大劫): 사겁(四劫)
※사겁(四劫)
성겁(成劫): 이룰 성(成), 세계가 파괴되어 없어진 후 아주 오랜 세월이 지나 다시 세계가 생기고 인류가 번식하는 기간.
주겁(住劫): 살 주(住), 인류가 세계에 안주하는 기간.
괴겁(壞劫): 무너질 괴(壞), 세계가 무너져 멸망하는 기간.
공겁(空劫): 빌 공(空), 이 세계가 무너져 사라지고 다음 세계에 이르기까지의 기간.
겁(劫): 어떤 시간의 단위로도 계산할 수 없는 무한히 긴 시간. 하늘과 땅이 한 번 개벽한 때에서부터 다음 개벽할 때까지의 동안이라는 뜻이다. ※개벽(闢): 세상이 처음으로 생겨 열림.
계율이 정리된 대승불교의 불경 《범망경 노사나불설 보살심지계품 제십(梵網經 盧舍那佛說 菩薩心地戒品 第十)》에는 다음과 같은 내용이 나온다.
선근(善根): 선과{善果(선한 결과)}를 받을 수 있는 원인.
1,000겁에 같이 선근을 심은 자는 한 국토(나라)에 나게 되고,
2,000겁에 같이 선근을 심은 자는 하루 동안 동행하고,
3,000겁에 같이 선근을 심은 자는 하룻밤을 자게 되고,
4,000겁에 같이 선근을 심은 자는 한 고향의 동족으로 나게 되고,
5,000겁에 같이 선근을 심은 자는 한 동네에 나서 살게 되고,
6,000겁에 같이 선근을 심은 자는 하룻밤 동안 동침하고,
7,000겁에 같이 선근을 심은 자는 한 집에 나서 살게 되고,
8,000겁에 같이 선근을 심은 자는 부부 되어 살게 되고,
9,000겁에 같이 선근을 심은 자는 형제 되어 살게 되고,
10,000겁에 같이 선근을 심은 자는 부모 또는 사제 간이 된다.
※겁 앞에 오는 수는 비유적인 수이다. 정확하지도 과학적이지도 않다. 더 많은 겁을 필요로 할수록 확률적으로 더 낮음을 표현한 것으로 이해하면 좋을 것이다.
인간은 전세의 악업에 의(인연)하여 고통받고, 전세의 선근에 의(인연)하여 고통을 받지 않는다.
악업(惡業)이란 원죄(原罪)와 같은 것이다. 원죄는 태초의 인간인 아담과 하와가 하느님(신)과의 약속(질서)을 어기게 되어 그 죄가 아담과 하와의 자손에게까지 이어진다는 기독교에서 말하는 죄(존재)를 뜻한다.
[창세기 2장 9절] 여호와 하나님이 그 땅에서 보기에 아름답고 먹기에 좋은 나무가 나게 하시니 동산 가운데에는 생명 나무(존재)와 선악(구별)을 알게 하는 나무도 있더라
[창세기 2장 15절] 여호와 하나님이 그 사람을 이끌어 에덴동산에 두사 그것을 다스리며 지키게 하시고 (시절인연)
※시절인연(時節因緣): 모든 사물의 현상이 시기가 되어야 일어난다.
[창세기 2장 16절] 여호와 하나님이 그 사람에게 명하여 이르시되 동산 각종 나무의 열매는 네가 임의(적자생존)로 먹되
[창세기 2장 17절] 선악(질서)을 알게 하는 나무의 열매(구별, 자아, 일착일규)는 먹지 말라 네가 먹는 날에는 {혼돈(질서)이} 반드시 죽으리{질서(혼돈)가 존재하게 되리)}라 하시니라
※신에게는 질서인 것이 인간에게는 혼돈이며 인간에게는 질서인 것인 신에게는 혼돈이다.
日鑿一竅(일착일규)
매일같이 한 구멍씩 뚫었더니
七日而渾沌死(칠일이혼돈사)
칠일 만에 혼돈이 죽어버렸다.
'아담과 하와'(인간)는 선악과를 먹고 낙원{무극(無極)}에서 추방되었다.
낙원(樂園): 아무런 괴로움이나 고통이 없이 안락하게 살 수 있는 즐거운 곳.
무극(無極): 우주의 본체인 태극(太極)의 맨 처음 상태를 이르는 말.
'아담과 하와'(인간)가 선악과(자아, 구별)를 먹지 않고 낙원에 있는 상태는 해탈{무극(無極)}의 상태와 같다.
해탈(解脫): 번뇌의 얽매임에서 풀리고 미혹의 괴로움에서 벗어남.
'아담과 하와'(인간)가 선악과(자아, 구별)를 먹고 낙원에서 추방(상실)된 상태는 번뇌{태극(太極)}의 상태와 같다.
번뇌(煩惱): 마음이나 몸을 괴롭히는 노여움이나 욕망 따위의 망념(妄念).
인간은 존재함{태극(太極)}과 동시에 존재한다는 죄 또한 생기며 그 죄로 낙원{무극(無極)}에서 추방된다.
신(우주)에게 있어서 질서{善(선)}란 Entropy가 최대 상태인 것{존재하지 않는 것, Chaos, 무극(無極)}이다. 창세기에는 하느님(인과율)이 빛이 있으라 하니 빛이 있었다고 나온다. 빛이 있기 이전의 상태는 낙원{무극(無極)}의 상태이며 빛은 존재와 그 존재의 최선의 상태(이데아)를 상징한다. 하지만 빛이 생겨난 후에는 단순히 빛만이 존재하게 되는 것이 아닌 빛은 존재함과 동시에 빛(질서)이 존재하지 않는 곳(어둠, 혼돈)이 동시에 생긴다. 빛이 있으라는 하느님의 말에는 어둠이 있으라는 말이 숨겨져 있다. 하느님(인과율)은 사실 빛과 어둠이 있으라라고 말한 것과 다를 바 없으나 빛{善(선)}이 있으라 하였다.
화이트는 마지막 집값을 내기 위한 200£(파운드)를 받고 싶다고 원숭이 손에 첫 번째 소원을 빈다. 그러자 원숭이 손이 잠깐 움직이는 것을 느꼈고, 화이트가 놀라 소리치자 가족들이 달려온다. 가족들은 화이트가 잘못 본 것일 거라고 위로한다. 다음날이 되자 화이트 가족은 평범한 일상으로 돌아온다. 그러나, 아침에 소원에 대한 농담을 남기고 떠난 아들은 저녁때 돌아오지 못하고, 대신 어떤 남자가 찾아와 아들이 죽었음을 알린다. 허버트는 일하던 공장에서 기계 안으로 빨려 들어가는 사고를 당해 죽었고, 그 보상금이 나올 것이라는 말과 함께. 화이트가 벌떡 일어나 공포에 질린 듯한 모습으로 얼마가 나올 것이냐고 묻자, 그 남자는 200£(파운드)가 나올 것이라고 말해준다. 화이트는 무너지듯 바닥에 주저앉는다.
하느님은 마치 원숭이 손에게 빛이 있으라라는 소원을 빈 것과도 같다. 원숭이 손은 그 소원을 들어주었다. 빛이 있기 전에 이 세상에 빛은 없었지만, 어둠 또한 없었다. 빛이 있으라는 소원은 빛이 생기게 함과 동시에 원숭이 손은 어둠을 같이 주었다. 이 세상은 하느님(인과율)이 만들 수 있는 최선의 상태이다. 인간에게 빛{善(선)}을 주기 위해서는 어둠{惡(악)}을 같이 주는 방법 외엔 존재하지 않았으며 그것을 같이 주는 것만이 전지전능한, 모든 것을 알고 모든 것이 가능한 신의 최선의 수였다. 모든 가능성 중 이 세상에 빛이 존재할 수 있는 유일한 경우의 수이다. 빛은 어둠이며 어둠은 빛이며 그 둘은 하나(중첩)이다.

그리스 신화에서 태초의 세상에, 제우스(인과율)는 헤파이스토스(대장장이의 신, 시절인연)를 불러 여자 인간을 만들라 했고 판도라라는 이름의 여자 인간이 탄생하였다. 제우스는 판도라의 탄생을 축하하며 상자(Pandora's Box)를 판도라에게 주었고 그 상자를 열어보지 말라고 경고하였다. 판도라는 프로메테우스의 동생과 결혼하고 행복하게 살았다(적자생존). 그러던 어느 날 호기심을 참지 못하고 결국 상자를 열고 만다(구별, 자아, 일착일규). 상자 안에는 온갖 욕심, 질투, 시기, 각종 질병 등(혼돈, 악)이 담겨 있었으며, 이것들은 판도라가 상자를 여는 순간 빠져나와 세상 곳곳으로 퍼졌다. 평화로웠던 세상은 금세 험악해지고 말았고 판도라는 깜짝 놀라 급하게 상자를 닫았으나 상자 안의 나쁜 것들은 이미 전부 빠져나온 뒤였으나 그 안에 있던 희망(질서, 선)만은 빠져나가지 않아서 사람들은 상자에서 빠져나온 악들이 자신을 괴롭혀도 희망만은 절대 잃지 않게 되었다고 한다.
빛{善(선)}의 탄생은 어둠{惡(악)}의 탄생이며 이는 양의{兩儀, 음과 양, 태극(太極)}의 탄생이다. 빛(존재)의 창조는 어둠(원죄, 악업)을 동반하며 빛 그 자체가 원죄이자 악업이다. 인간이 태어난다는 것, 존재한다는 것 자체가 원죄이며 악업이다. 하지만 죄와 악이라는 글자를 보고 부정적(Negative) 해석을 한다면 이것은 인간 중심적인 관점(왜곡, 편향)이다. 모든 것은 왜곡이나 편향이 없이 중립적(정도)으로 해석되어야 한다. 이것을 중립적인 해석이 아닌 부정적으로 해석하게 되는 이유는 우리는 죄와 악에서 그것이 누구의 책임인지를 생각하기 때문이다. 우리 인간의 형법의 시스템의 구조는 악한 행위를 하고 죄를 지은 사람은 그것을 원인(인연)으로 처벌(결과, 고통, 심판)받는다. 즉, 죄지은 악한 자가 그 죄악이라는 자신의 책임에 의하여 고통을 받게 된다는 것이다. 우리 인간은 고통과 책임의 주체가 동일한 것으로 생각하는 관점(편향, 왜곡)을 갖고 있다. 인간의 형법 시스템이 그러하며 인간의 사고방식이 그러하다.
ⓐ'고(苦): 전세(前世)의 악업(惡業)에 의(依)하여 받는 고통(苦痛).'
즉, 우리는 ⓐ를 보고
ⓑ'범죄자(책임자)의 죄악에 의(依)하여 받는 처벌.'
ⓑ의 관점에서 ⓐ를 해석하려고 한다. 하지만 이러한 관점은 부정적(Negative)인 인간(편향)의 관점이다.
ⓐ에서 악업 악(惡)이라는 문자를 보고 우리 인간은 ⓑ의 관점에서 책임의 주체를, 형벌을 받는 범죄자가 그 죄에 대한 책임을 가진 것처럼 고통을 받는 대상과 그 고통에 대한 책임을 동일시 한다. 하지만 ⓐ는 중립적으로 해석되어야 한다. 책임의 주체가 누구인지 물어보지 않는다면 중립적 해석이 가능하다. 악(惡)이라는 단어는 책임의 대상을 가르키는 단어가 아닌 고통(苦痛)을 말하는 것이다. 고통(苦痛)이 악(惡)이며 고통(苦痛)의 부재(비존재)가 선(善)이다.
①'고(苦): 전세(前世)의 악업(惡業)에 의(依)하여 받는 고통(苦痛).'
②'선근(善根): 선과{善果(선한 결과)}를 받을 수 있는 원인.'
①과 ②의 정의(규정)는 사실 반대로 적힌 것이며 선악이라는 글자는 결과를 본 후, 나중에 원인에 붙은 것이다. 반대로 적혔다는 것은 우리 인간은 고(苦)와 선근(善根)의 정의를 해석하려고 할 때 원인→결과의 순으로 해석하려고 하지만 원인→결과의 순으로 해석하는 것이 아닌 결과→원인의 순으로 해석하여야 한다. 결과→원인의 순으로 다시 해석하자면 다음과 같은 의미가 된다.
고통(苦痛)을 받게 하는 것이 악업(惡業)이다.
선과{善果(선한 결과)}를 받게 하는 것이 선근(善根)이다.
즉, 악업(惡業)이란 악업(惡業)이 아닌 그저 업(인연, 원인, 중립적)이지만 그 업이 고통(苦痛)을 받게 만든 업이라면 그것은 악업(惡業)이 된다.
즉, 선근(善根)이란 선근(善根)이 아닌 그저 근(인연, 원인, 중립적)이지만 그 근이 선과{善果)를 받게 만든 근이라면 그것은 선근(善根)이 된다.
결과→원인의 순으로 바꾸어 해석한다면 인간 중심의 부정적(Negative)인 해석을 피할 수 있을 것이며 이러한 것은 인간이 동식물들을 역(域, Domain), 문(門, Phylum, Division), 목(目, Order), 과(科, Family), 속(屬, Genus), 종(種, Species)으로 분류하기 전에는 그 동식물들은 그저 그러한 존재로 존재하였지 역문목과속종이라는 분류법에 의(인연)해 분류되지 않은 상태였음과 같으며 그러한 동식물들은 인간이 태어나고 그 후에 인간이 분류한 것이듯이 우리 인간이 태어나기 전에 업이나 근이라는 원인은 선(善)이나 악(惡)으로 분류되지 않은 그저 그러한 원인이었다. 인간이 태어난 후 그 원인은 인간과 인연(因緣)하여 인간이라는 기준(고통)에 의(依)해 선(善), 악(惡)이라는 분류(평가)를 받게 된 것이다.
자동차 사고(Accident, Chaos. Joker, 우주, 존재)에 의(依)해서 어떤 인간이 장애인이 되었고 그로 인해 삶이 고통 된다면 단지 이 자동차 사고라는 것이 악업(惡業)이며 그러한 악업(惡業)에 의(依, 인연)해 장애인이 되어 고통(苦痛)을 받는 것이다.
사고를 당한 인간(피해자, 보행자)이 그 자동차에 대해서 부주의{악(惡)}했을 수도, 주의{선(善)}했을 수도 있으며 별다른 생각이 없었던 것{중립{中}}일 수도 있다.
사고를 낸 인간(가해자, 운전자)이 운전에 대해서 부주의{악(惡)}했을 수도, 주의{선(善)}했을 수도 있으며 별다른 생각이 없었던 것{중립{中}}일 수도 있다. 또는 만취 상태{악(惡)}였을 수도, 의도적{악(惡)}이었을 수도 있으며 또 다른 사고를 피하거나 막으려고 했던 것{선(善)}에 의한 사고일 수도 있다.
각 경우마다 책임의 주체와 그 책임의 정도가 달라지나 어떠한 경우(나의 책임이 전혀 존재하지 않는 상황을 포함)라도 사고는 발생한 것이다. 자신의 책임이건 상대방의 책임이건 사고에 의(依)해서 고통받게 된다면 사고는 악업(惡業)이 된다. 사고를 당한 인간은 그 악업(惡業)에 의(依)해서 고통(苦痛)받게 된다. 어떠한 경우(나의 책임이 전혀 존재하지 않는 상황을 포함)에서라도 발생하였을 사고를 면하게 만든 원인(인연)은 선근(善根)이 되며 그 결과는 선과(善果)가 된다. 어떤 존재가 존재하게 되는 사건(Accident)이 그 존재에게 책임이 전혀 존재하지 않더라도 그 존재는 존재한다는 악업(원죄)으로 의(인연)해 고통을 받고 있다면 존재한다는 것은 원죄이자 악업이자 악근(惡根)이 된다.
영화 타임 패러독스(2014)의 시놉시스(줄거리)는 다음과 같다.
1. 템포럴 요원은 피즐 폭파범을 막다가 얼굴을 다쳐 이식수술을 한다.
※피즐 폭파범: 지속적으로 테러 행위를하고 그 테러 행위로 인하여 많은 사상자가 발생하였으며 잡히지 않고 있다.
※템포럴 요원: 피즐 폭파범을 잡으려는 요원이며 타임머신으로 시간을 이동할 수 있다.
2. 템포럴 요원은 바텐더로 위장 취업해 존을 만난다.
3. 존은, 고아원에서 자라나 우주비행사를 꿈꾸다가 의문의 남자를 만나 아이를 낳고 인생을 망친 소녀 제인에 대해 이야기를 한다.
※존은 남성 생식, 여성 생식을 둘 다 할 수 있는 특이 체질이었으며 제왕절개로 아이를 낳은 후 질과 자궁을 절제하게 되고 존의 몸은 남성 호르몬에 의해 남성적인 신체로 바뀌고 이름 또한 여성일 때의 이름인 제인을 버리고 존으로 개명하게 되며 바텐더로 위장한 템포럴 요원을 만나게 된 날의 아침에 존은 의사로부터 존의 몸에서 정자가 생성되기 시작하였다는 것을 들었다.
4. 존은 제인과 깊은 관련이 있다.
5. 템포럴 요원은 존을 제인이 의문의 남자를 만나기 바로 직전으로 데리고 간다.
6. 템포럴 요원은 존과 깊은 관련이 있다.
이 영화의 반전은 피즐 폭파범, 템포럴 요원, 제인, 의문의 남자(존), 제인이 낳은 아기(고아)가 전부 동일인이며 자기 자신(제인)이라는 것이다.
시간의 흐름에 따라 고아원에 버려진 아기는 제인→존→템포럴 요원→피즐 폭파범이 된다.
사건을 시간의 흐름대로 나열하자면 아래와 같고 인과의 흐름대로는 제일 왼쪽에 표시한 순서대로 진행된다.
⑺ 1945년 9월 | 아기(제인)가 고아원에 버려진다.
⑸ 1963년 4월 | 성장한 제인은 의문의 남자, 존(자신)을 만나게 되고 제인은 존(자신)의 아기(자신)를 임신한다.
※제인은 존(자신)을 만났을 때 자신의 생각을 알아맞히고 대화가 잘 통하는 존(자신)을 사랑하게 됨으로써 삶에서 유일하게 행복했던 순간을 맞이하나 존(자신)은 제인을 임신시키고 자취를 감춰 제인은 절망하게 되고 존(자신)을 원망한다.
⑹ 1964년 3월 | 제인은 아기(자신)를 낳고 템포럴 요원(자신)에 의해 아기(자신)가 납치된다.
※제인은 존(자신)이 떠나간 절망 속에서 아기(자신)를 삶의 목표로 삼고 살아가고자 하나 템포럴 요원(자신)이 아기(자신)를 납치하여 또다시 절망에 빠지게 된다.
⑵ 1970년 3월 | 템포럴 요원(제인)은 피즐 폭파범(자신)의 테러를 저지하다가 폭탄에 의해 얼굴에 화상을 입게 되고 누군가의 도움으로 본부로 귀환한다.
※템포럴 요원은 화상을 입은 후 치료된 얼굴을 거울로 보면서 "내 어머니(자신)가 나를 알아볼 수 있을지 모를 정도로 많이 바뀌었네요(I've changed so much that I doubt my own mother would recognize me)."라고 말한다.
⑷ 1970년 11월 | 존(제인)은 Bar에서 바텐더로 위장한 템포럴 요원(자신)과 만나게 된다.
※템포럴 요원(자신)은 존(제인)의 이야기를 들어준 후 "만일 내가 당신 앞에 당신 인생을 망친 사람을 데려와준다면, 그리고 당신이 절대로 걸리지 않는다고 보장한다면, 그를 죽이겠나?(What if I could put him in front of you? The man that ruined your life? If I could guarantee that you'd get away with it, would you kill him?)"라고 물어본다. 존(제인)은 죽이겠다고 답하고 템포럴 요원(자신)은 존(제인)을 과거로 데려가고 존(제인)은 그곳에서 여성이었던 시절의 자신인 제인(자신)을 만나게 되고 제인(자신)을 임신시킨다. 존(제인)은 과거의 자신(제인)이 사랑했던 존재가 지금의 자신(존, 제인, 현재, 미래)이라는 것을 깨닫는다.
⑻ 1975년 1월 | 템포럴 요원(제인)은 요원을 은퇴하고 세탁소에서 피즐 폭파범(자신)을 만나고 대화 후에 피즐 폭파범을 죽인다.
※템포럴 요원(제인)은 은퇴함과 동시에 템포롤 요원이 소유한 시간 이동 장치는 기능이 은퇴와 동시에 정지하게 되어있었지만 오류로 인하여 기능은 정지하지 않고 은퇴하였음에도 여전히 시간 이동이 가능하게 된다. 템포럴 요원(제인)은 피즐 폭파범이 자신이라는 사실을 부정하지만 피즐 폭파범(자신)은 타임머신이 여전히 기능하지 않느냐고 되물어본다. 템포럴 요원(제인)은 다른 자신(존, 제인)이 자신(현재)보다 나이가 적다면 이미 지나온 길(과거)이기에 그 길을 완전히 인지, 이해하지만 다른 자신(피즐 폭파범)이 자신(현재)보다 나이가 많다면 가보지 못한 길(미래)이기에 그 길을 완전히 인지, 이해하지 못한다. 하지만 피즐 폭파범(미래)는 이미 세탁소(우주) 안에서 이미 템포럴 요원(현재)의 눈앞에 놓여있으며 그 둘은 현재 만나게 된다(필연적, 동시성).
※템포럴 요원(제인)이 요원으로서 하던 일은 시간을 이동하며 테러 행위(악근)를 막는 것, 사망자를 줄이는 것(선과)이다. 피즐 폭파범(자신)은 템포럴 요원(제인, 현재, 과거)에게 자신(피즐 폭파범)이 한 일은 테러 행위(악근)이 아니며 그 테러에서 죽어 나간 인간들이 살아있게 되면 그보다 미래의 시점에서 그 사망자들로 인하여 발생하는 사건에서 더 많은 사망자가 발생하게 된다고 설명한다. 그 요인을 미리 제거하는 행위는 미래에 발생할 피해(악과)를 막는 행위(선근)이지 테러 행위(악근)인 것이 아니라고 설명하며 미래에서 발행된 신문 기사를 보여주며 그러한 테러 행위(악근, 선근)들로 인하여 더 많은 사람을 살릴 수 있었음(선과)을 설명한다. 자신이 옳다는 것을 설명하는 중, 그것을 받아들이지 못하는 템포럴 요원(제인, 과거)은 총을 쏘려고 하자 피즐 폭파범(자신, 미래)은 지금 총을 쏘면 이 총알을 결국 너(과거)가 (피즐 폭파범이 되어) 미래에 맞게 될 것(필연적, 동시성)이라고 말하지만 결국, 템포럴 요원(제인, 과거)은 총을 쏘았고 총알을 맞은 피즐 폭파범(자신, 미래)은 사망하게 된다.
⑼ 1975년 3월 | 피즐 폭파범(자신)에 의해 뉴욕에 테러 사건이 발생한다.
※1975년 1월에 피즐 폭파범(자신)은 템포럴 요원(제인)에게 죽었다. 그렇다면 1975년 3월의 피즐 폭파범은 누구인가? 피즐 폭파범은 제인이다. 결국 피즐 폭파범(자신)을 죽인 템포럴 요원(제인)은 피즐 폭파범(제인)이 되었으며 피즐 폭파범(제인)이 된 템포럴 요원(제인, 현재)은 언젠가 미래에 다시금 자신(템포럴 요원, 과거)에게 총을 맞고 죽게 될 것이다.
⑴ 1985년 8월 | 본부에서 타임머신이 개발된다.
※타임머신이 개발된 시점(영점)에서 53년 이상을 이동할 경우 시간의 항로는 붕괴된다.
⑶ 1992년 2월 | 피즐 폭파범(자신)에 의해 템포럴 요원(제인)은 얼굴에 화상을 입고 본부로 귀환한다.

제인은 자신(음, -)과 자신(양, +) 사이에서, 자신에 의해 태어났으며 자신에 의해 죽는다. 또한 자신을 죽인 자신은 미래에 또 다른 자신에게 죽게 될 운명에 놓여있으며 자신을 죽인 또 다른 자신 또한 또 또 다른 자신에게 죽게 되는 Loop(순환)에 갇혀있으며 Ouroboros(순환)는 자신의 꼬리를 먹으며 살아가는 뱀이다. 자신의 꼬리를 먹으며 살아가며(생) 동시에 자신의 꼬리를 먹으며 죽어간다(멸). 생(生)은 멸(滅)을 만들고 멸(滅)은 생(生)을 만든다. 생은 멸에 의해 존재하며, 멸은 생에 의해 존재한다. 모든 존재는 생멸변화(生滅變化)하며 무상(無常)하다.
영화 타임패러독스(2014)의 원제는 Predestination(숙명, 운명)이다.

우리 인간은 시간이 흐른다고 생각하지만 시간은 과거, 현재, 미래에서 동시성을 갖는다. 위의 이미지처럼 8조각의 피자 모양이 동시에 그려지는 것과도 같다.
저항과 중력이 없는 공간에서 어떤 물질이 어떠한 방향으로 1m/s로 이동하고 있다면 그 물질의 과거, 현재, 미래는 동시에 존재한다는 것을 상상하기 쉬울 것이다. 현재에는 이곳(영점)에 있지만 10초 뒤에는 이곳에서 10m 떨어진 곳에, 100초 뒤에는 100m 떨어진 곳에 있을 것이다. 이것은 단순한 예시이며 세계는 Complex(컴플렉스) 하다. 하지만 Complex(컴플렉스) 하다는 것이 우리 인간이 그 Complex(컴플렉스)를 인지하지 못하거나 이해하기 어려운 이유는 될지언정 어떤 물질이 인과율을 거스를 수 있는 이유는 되지 않는다. 인과율(인연)은 필연적(동시성)이다.
물리학을 믿는 나와 같은 사람들은 과거, 현재, 미래의 구별이란 단지 고질적인 환상일 뿐이란 사실을 알고 있다. -알베르트 아인슈타인
씨앗{因(원인)}은 씨앗임과 동시(필연)에 나무{果(결과)}이다.
Complex(컴플렉스)는 접두사 com-(함께)+ 어근 plex (접다)의 형태로, 함께 접혀 있어 복잡하다는 뜻이 된다. 우주의 상호작용(인연) 하나에 얽힌(함께) 물질(원인)들이 무수히 많아 그 복잡함은 인간이 인지하거나 이해할 수 있는 범위를 벗어난다. 이것은 유물론적인 공간에 존재하는 물질의 Hardware Complex(하드웨어 컴플렉스)라고 할 수 있다. 지그문트 프로이트(Sigmund Freud)는 Complex를 감정, 행동에 강한 영향을 주는, 무의식적인 마음의 반응이라는 뜻으로, 카를 융(Carl Jung)은 일정한 조건 밑에서 인간이 일반적으로 일으키는 정동(情動) 반응이나 갈등의 형태라는 뜻으로 사용하며 인간 행동의 근원은 물질(Hardware)이 아닌 정신(Software)에 뿌리{根(근)}를 두며 그 뿌리(원인)에서 행동(결과)이 나온다고 생각하였다. 이러한 정신{根(근)} 또한 우주의 상호작용(인연)에 얽힌 원인이라고 할 수 있으며 이것은 관념적인 공간에 존재하는 정신의 Software Complex(소프트웨어 컴플렉스)라고 할 수 있다. 인연(얽힘, 인과)은 Complex(혼돈)하다.
타생지연(他生之緣): 낯모르는 사람끼리 길에서 소매를 스치는 것 같은 사소(些少)한 일이라도 모두가 전생(前生)의 깊은 인연(因緣)에 의(依)한 것이다.
전생(前生)이란 이 세상에 태어나기 이전의 세상을 이르는 말이지만 Ouroboros(우로보로스)의 시작(입, 이전)과 끝(꼬리, 이후)은 구별할 수 없는 동시성(필연)을 지닌다. 영화 타임 패러독스(2014)에서는 바텐더로 위장한 템포럴 요원(자신, 미래, 닭)이 존(제인, 과거, 달걀)에게 닭과 달걀 중 무엇이 먼저냐고 묻는 장면이 나온다. 존은 수탉(Rooster)이라고 답한다. 자신이 자신(시작)을 낳게 되고 Loop(순환) 하게 되는 원인인 남성이라는 자신(존)이 없었다면 모든 것은 성립할 수 없다는 의미로 답하였을 것이다. 닭은 달걀의 시작임과 동시에 끝이며 달걀은 닭의 시작임과 동시에 끝이다. Loop에서는 시작도 끝도 구별할 수 없다. 직선에는 시작과 끝이 존재하지만 원(순환)은 그렇지 않다. 우리의 우주(전체, 다중 우주, 모든 것, 태극) 또한 단 한 번만 일어나는 사건이 아니라 순환하고 있다고 한다면 닭(태극, Entropy 최소)과 달걀(무극, Entropy 최대) 중 무엇이 먼저 인지는 답할 수 없다. 앞면과 뒷면이 동일한 동전을 무한히 뒤집는다고 한다면 어느 것이 앞면(이전)이고 뒷면(이후)인가? 그렇다면 태어나기 이전(달걀)의 세상 또한 그것이 이전(과거)인지 이후(미래)인지는 알 수 없다. 그 이유는 (아마도) 이 세상의 모든 것(태극)이 순환(반복)되고 있기 때문이다(라고 믿는다). (만약) 우주가 순환하고 있다면 우주의 모든 것은 무한(∞, Ouroboros)하다. 6개의 눈을 가진 주사위를 5번 굴린다면 결괏값으로 나오지 못한 숫자가 1개 이상은 존재하게 될 것이다. 굴리는 횟수를 늘릴수록 어떤 수만이 결괏값으로 나오지 못할 확률은 낮아지게 된다. ∞번 굴린다면 그 확률은 0%가 된다. 6개의 눈을 가진 주사위를 ∞번 굴린다면 1, 2, 3, 4, 5, 6의 눈이 1번 이상 결괏값으로 나오게 될 확률은 100%이다. 60개의 눈이어도 마찬가지이며 600개의 눈이어도 마찬가지이다. ∞개의 눈이어도 마찬가지이다. ∞(무한) 개의 눈을 가진 주사위를 ∞(무한) 번 굴린다면 각 눈이 1번 이상 나올 확률은 100%(필연적, 동시성, 인과, 인연)이다.

A, 2, 3, 4, 5, 6, 7, 8, 9, 10, K, Q, J의 13개의 숫자와 스페이드(♠), 다이아몬드(♦), 클로버(♣), 하트(♥) 4가지 문양의 플레잉 카드를 사용하는 포커에서 로얄 스트레이트 플러시는 10, K, Q, J, A가 모이고 문양이 전부 같아야 하는 족보이다. 각 문양 마다 13장씩 총 52장으로 만들 수 있는 모든 경우의 수인 2,598,960가지 중 로얄 스트레이트 플러시은 단 4가지의 경우의 수로 그 확률은 0.00015390771%이다.

숫자는 A, K, Q, J, 10, 9, 8, 7, 6, 5, 4, 3, 2의 순으로 높고 문양은 스페이드(♠), 다이아몬드(♦), 클로버(♣), 하트(♥) 순으로 높다. 같은 족보일 경우 더 높은 숫자가 이기며 숫자가 같다면 더 높은 문양이 이긴다. 양쪽의 족보가 서로 로얄 스트레이트 플러시일 경우 스페이드로 이루어진 로얄 스트레이트 플러시를 가진 사람이 승리한다. 포커의 족보에서 스페이드 로얄 스트레이트 플러시가 지는 경우의 수는 없다. 확률은 1/2,598,960(0.000038476929%)이다.
수학에서, 자연수의 계승(Factorial)은 그 수보다 작거나 같은 모든 양의 정수의 곱이다. n이 하나의 자연수일 때, 1에서 n까지의 모든 자연수의 곱을 n에 상대하여 이르는 말이다. 기호는 !이다.
0!=1
1!=1
2!=1×2=2
3!=1×2×3=6
4!=1×2×3×4=24
5!=1×2×3×4×5=120
6!=1×2×3×4×5×6=720
7!=1×2×3×4×5×6×7=5,040
8!=1×2×3×4×5×6×7×8=40,320
9!=1×2×3×4×5×6×7×8×9=362,880
10!=1×2×3×4×5×6×7×8×9×10=3,628,800
조합론에서 조합(Combination)은 서로 다른 n개의 원소를 가지는 어떤 집합(서로 다른 원소의 모임)에서 선택의 순서에 상관없이 r개의 원소를 선택하는 것(같은 원소들이 선택되었다면 같은 조합이며 다른 원소들이 선택되었다면 다른 조합이다)이며 이는 n개의 원소로 이루어진 집합에서 r개의 원소로 이루어진 부분집합을 만드는 것 혹은 찾는 것과 같다. 가능한 조합의 수는 이항계수와 같다.

1, 2, 3, 4, 5의 원소로 이루어진 집합에서 3개의 원소로 만들 수 있는 조합(C)의 경우의 수는 총 10가지이다. 경우의 수를 구하는 공식은 다음과 같다.

5C3=5!/(5-3)!×3!=5!/2!×3!=(1×2×3×4×5)/(1×2)×(1×2×3)=120/2×6=120/12=10

포커의 족보(조합)는 총 52장(집합)의 카드 중 5장(C)의 카드를 사용한다. 52개의 원소를 가진 집합에서 5개의 원소로 만들 수 있는 경우의 수는 52C5=52!/(52-5)!×5!=52!/47!=2,598,960이다.
52!=80658175170943878571660636856403766975289505440883277824000000000000
47!=258623241511168180642964355153611979969197632389120000000000
5!=120
47!×5!=31034788981340181677155722618433437596303715886694400000000000
80658175170943878571660636856403766975289505440883277824000000000000
÷
31034788981340181677155722618433437596303715886694400000000000
=2,598,960
스페이드 로얄 스트레이트 플러시의 확률은 1/2,598,960(0.00003847692%)이다. 이러한 낮은 확률이라도 포커 게임(우주)을 무한히 플레이(순환, ∞)한다면 스페이드 로얄 스트레이트 플러시가 만들어질 확률은 100%(필연적, 동시성)이며 스페이드 로얄 스트레이트 플러시가 나오는 횟수(반복)는 ∞(무한)이다.
※포커 족보별 확률
스페이드 로얄 스트레이트 플러시 1/2,598,960(0.000038476929%)
로얄 스트레이트 플러시 4/2,598,960(0.00015390771%)
스트레이트 플러시 40-4=36/2,598,960(0.0013851694%)
포카드 13×48=624/2,598,960(0.024009603%)
풀하우스 3,744/2,598,960(0.1441%)
플러시 5,108/2,598,960(0.19654015%)
스트레이트 10×4^5-40=10,200/2,598,960(0.39246467%)
트리플 54,912/2,598,960(2.11284513%)
투페어 123,552/2,598,960(4.75390156%)
원페어 1,098,240/2,598,960(42.25690276%)

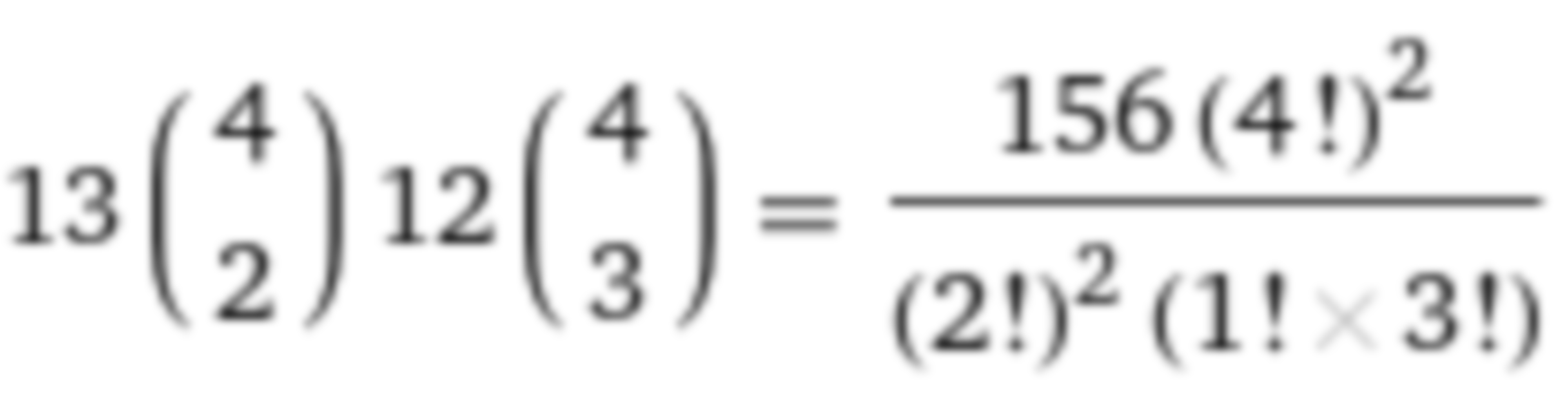
풀하우스 확률 계산식

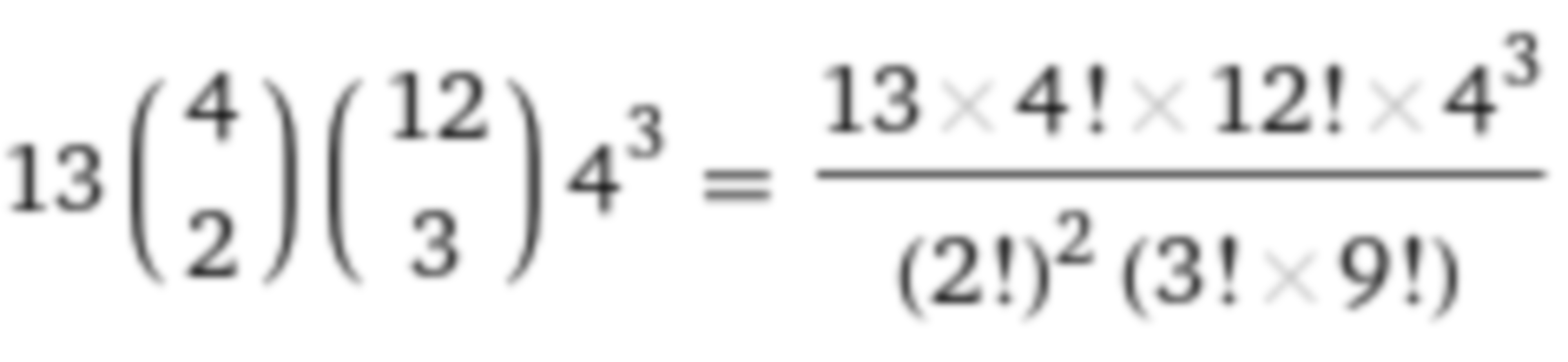
플러시 확률 계산식

트리플 확률 계산식

투페어 확률 계산식

원페어 확률 계산식
《이기적 유전자》의 저자 클린턴 리처드 도킨스(Clinton Richard Dawkins)은 인간의 이타적 행위의 빈도 또는 가능성을 유전적 근연도(Degrees of Relatedness)로 추측할 수 있다고 하였다. 근연도란 가족 구성원 간에 동일 유전자를 공유할 확률이다. 촌수가 늘어날 때마다 1/2를 곱한다.

확률은 평균이다. 유전적 근연도가 50%라는 말은 근연도가 50%인 상대방과 자신의 유전자가 정확히 50% 같다는 것이 아니라 평균적으로 50%가 같다는 의미일 것이다. 이러한 근연도는 자기 자신(Me) 1명과 자신의 아이(Children) 또는 부모(Parents) 2명의 가치가 동일함(평균)을 예측할 수 있다. (평균적으로, 다른 변수는 동일하다면) 인간은 자신의 아이 2명이 죽는 것을 자기 자신의 죽음과 동일한 것으로 느낀다. 자신의 아이 2명이 죽을 위기에서 자신이 희생하여 아이 2명을 살릴 수 있다면 이것은 동일한 교환(1:1)이라고 느낀다. 자신의 아이 3명을 자신의 희생으로 살릴 수 있다면 이것은 이득(1:1.5)이다. 자신의 희생으로 자신의 아이 1명을 살릴 수 있다면 이것은 손해(1:0.5)이다. 자신의 아이가 아닌 조카(Niblings)의 경우 5명은 되어야 자신의 희생으로 살리는 것을 이득(1:~1.25)이라고 느낄 것이다. 사촌(Cousins)의 경우 9명은 죽을 위기에 처해야 할 것이다.
※근연도가 동일하다면 가치가 동일하다는 것에는 어떤 오해가 생길 수 있는데, 인간의 가치는 오로지 근연도로만 계산하는 것이 아니며 근연도는 수많은 변수(요인) 중 하나이며 다른 변수가 동일할 때(실험군과 대조군) 근연도 또한 같다면 그 가치는 자기 자신과 동일할 것이다. 하지만 근연도가 같더라도 다른 변수의 값이 다르다면 가치 또한 동일하지 않다.
※실험군과 대조군: 실험을 할 때, 실험군만으로는 측정된 결과가 가설이 맞아서 자연히 생긴 결과인지, 다른 요인에 의해 우연히 도출된 결과인지 알 수 없다. 이것을 검증하기 위해서는 실험군에 대해 통제한 조건을 통제하지 않고 같은 실험을 수행했을 때 얻은 결과와 실험군에 대한 실험 결과를 비교하여 유의미한 차이가 있다는 것을 증명해야 하는데, 이때 필요한 것이 대조군이다.

(아마도) 유전적 근연도 50%인 대상의 유전적 유사성의 평균은 50%일 것이다. 전세계 사람의 IQ의 합을 사람 수로 나누면 100이 되며 IQ의 분포는 정규분포를 따른다. IQ의 평균은 100이지만 그 범위는 매우 크다.
※촌수별 유전적 근연도
1촌 1/1(100%)
2촌 1/2(50%)
3촌 1/4(25%)
4촌 1/8(12.5%)
5촌 1/16(6.25%)
6촌 1/32(3.125%)
7촌 1/64(1.5625%)
8촌 1/128(0.78125%)
9촌 1/256(0.00390625%)
국내법상 8촌 이내 혼인은 금지되어 있으며 9촌부터 혼인이 가능하다.

스페인의 호세 카레라스 백혈병 연구소에서 얼굴이 닮은 사람들의 유전자를 분석해 얻은 결과를 23일 생물학 저널 〈셀 리포트(Cell Reports)〉에 발표했다. 인터넷의 발달로 유전적으로 완전히 남임에도 외모가 유사한 사람들의 존재를 확인할 수 있게 되었는데 연구팀에서는 이런 사람들의 유전자가 실제로 얼마나 비슷한지 분석하였다. 외모의 유사성은 인간이 눈으로 보고 평가하는 것이 아닌 3개의 안면인식 프로그램으로 32쌍의 사진을 분석하여 프로그램의 알고리즘에 따라 유사한 정도를 측정하였다. 측정 후 외모의 유사성이 높은, 32쌍의 절반인 16쌍(32명)에게 생활 습관과 생물학적 특징 등을 묻는 광범위한 설문 조사를 진행하고 타액을 제공받아 유전체와 전사체, 단백질 등을 종합적으로 들여다보는 멀티 오믹스 분석을 진행했다. 그 결과 16쌍 중 9쌍은 19,277개의 단일염기 다형성(SNP) 유전자의 유사성이 높은 것으로 확인되었다. 또한 외모가 비슷한 쌍은 외모가 유사하지 않은 쌍보다 신장, 체중, 습관, 흡연 여부 등이 더욱 유사한 것으로 확인되었다.
※단일염기 다형성(Single Nucleotide Polymorphism, SNP)이란 인간의 세포핵 속 염색체가 가진 30억 개의 염기서열 중 약 1,000 염기쌍마다 나타나는 유전체이다. 인간은 인간끼리 유전자의 99.9%가 동일한 유전자로 이루어져 있으며 0.1%에 해당하는 SNP에 의해서 인간 개인의 특성이 발현되며 차이가 나타난다.
미국 펜실베이니아 주립대와 벨기에 루뱅 가톨릭대(KU루뱅) 등 국제공동연구팀은 국제학술지 〈네이처 유전학(1992년 설립)〉에 얼굴을 관찰해 유전적 결함을 파악할 수 있다는 연구 결과를 발표하였다. 유럽인 8,246명의 얼굴을 디지털화해 7,000개 이상의 지점으로 나눠 인공지능(AI) 알고리즘으로 분석하였고 그 결과 203개의 부위가 특정 유전자와 직접적으로 연결돼 있다는 것이 확인되었다. 61곳은 신체 기형과 관련이 있었다. 이 결과는 특정 유전적 특성이 얼굴에 드러난다는 것이며 얼굴 속에서 질병의 단서를 찾을 수도 있다는 의미이다. 미국 디지털 헬스케어 기업인 FDNA 등에서는 국제공동연구팀이 새로 개발한 딥러닝 기반 알고리즘 게슈탈트매처(GestaltMatcher)를 활용해 17,560명의 환자에게서 1,115개 희귀 유전질환을 진단하는 데 성공했다는 결과를 국제학술지 〈네이처 유전학〉에 발표하기도 하였다. 이러한 사실로 볼 때 혈연관계가 아님에도 어떤 사람이 다른 어떤 사람과 외모가 유사할수록 그 두 명의 유전자는 서로 외모가 유사하지 않은 사람끼리보다는 유전자가 더욱 유사할 것으로 예측된다.
즉, 우리가 혈연관계에 놓여있을 때 근연도란 것은 유전자 유사성(족보)에 대한 Advantage(이점)이다. 52장의 플레잉 카드로 스페이드 로얄 스트레이트 플러시(Me, 자신)의 족보를 완성하는 것보다 39장, 26장, 13장만을 가지고 완성하는 것이 족보를 완성할 확률은 기하급수적으로 올라간다.
※플레잉카드 장수 별 확률(경우의 수)
53장 1/2,598,960(0.000038476929%)
39장 1/575,757(0.00017368438%)
26장 1/65,780(0.0015202189%)
13장 1/1,287(0.077700077%)
자식(확률, 존재, Me)은 부모(2명)로부터 유전자를 50%씩 받고 그것의 조합(원소의 집합)으로 이루어진다. 이때 같은 부모가 자식을 아주 많이 낳는다면(반복) 나(Me)라는 유전자 조합(배열, Hardware Complex)이 2번 이상 반복될 가능성이 완전한 타인으로부터 나온 자식에게서 반복될 확률에 비하자면 기하급수적으로 높다.
※어떤 사람의 유전자의 조합(배열)이 나와 동일하다는 것이 그 어떤 사람이 나(Me)라는 의미는 아니다. 나를 구성하는 요소는 Complex(혼돈, 우연) 하며 Complex(컴플렉스)는 Hardware Complex(물질적 혼돈)와 Software Complex(비물질적 혼돈)으로 나뉜다. 이 두 가지의 총합이 나(Me)이며 나와 유전자의 조합(배열)이 동일한 인간이 1명 더 존재한다는 것은 내가(Me) 1명 더 존재한다는 것이 아닌 Hardware Complex(물질적 혼돈)가 동일한 인간이 1명 더 존재한다는 의미이다. 일란성(하나의 난자와 정자에서 분열) 쌍둥이의 유전자는 그 쌍둥이의 자식들을 유전자 검사를 해보면 부모가 모두 다른데도 자식들의 유전자는 이복형제(아버지가 같음)로 나올 정도로 유전자의 조합(배열)이 거의 같으며 아이슬란드의 유전자 분석 전문기업 디코드 지네틱스(deCODE Genetics) 연구팀에서는 일란성 쌍둥이의 배아가 둘로 갈라지기 전부터 평균적으로 5.2개의 유전적 차이를 지니며 일란성 쌍둥이의 15%는 최대 100개의 유전적 차이를 지닌 것으로 확인된다는 연구 결과를 발표하였다. 일란성 쌍둥이는 서로 같은 사람(Me)이 아니며 타인이다.
하지만 완전한 타인 2명으로부터도 나 자신의 유전자 조합(배열)이 반복될 가능성(확률)은 매우 낮긴 하겠지만 완전한 타인임에도 비슷한 외모를 가진 인간이 존재하는 것을 보면 유전자 조합을 구성하는 요소가 무한(∞)하지 않음을 짐작할 수 있으며 요소가 무한하지 않다면 전체 경우의 수 또한 무한(∞)하지 않으며 유한하다. 그러므로 그 가능성은 Zero가 아니며 이것을 무한(∞)히 시도(반복)한다면 완전한 타인으로부터 현재의 나와 완전히 동일한 유전자 조합(Hardware Complex)가 반복될 가능성은 100%이다. 무한(∞)히 반복될 때 Zero(無無)가 아닌 모든 것은 100%(필연적, 동시성)가 된다. 우주가 무한(∞)히 순환되고 있다면 나라는 존재의 반복 가능성은 100%이며 반복 횟수는 무한(∞)하다. 앞서 말했듯이 나라는 존재의 구성은 Hardware Complex(하드웨어 컴플렉스)로만 이루어지지 않는다. Hardware Complex(하드웨어 컴플렉스)가 반복될 확률만으로도 이미 한없이 Zero(0)에 가깝지만, Software Complex(소프트웨어 컴플렉스)까지 같을 확률을 더한다면 더욱이 Zero(0)에 한없이 가까워지지만, 결코 Zero(無無)가 되지는 않는다. 우주가 순환(∞)하고 있다면 나라는 존재(Hardware Complex, Software Complex) 또한 다시 나타날 확률은 100%이며 그 반복 횟수는 무한(∞)하다. 그 가능성의 증명이란 바로 현재 나 자신이 존재한다는 것이다. 현재의 나 지신이 존재한다는 것은 가능성의 실현이며 그 가능성이 Zero(無無)가 아니기에 지금 현재에, 나 자신이 존재하는 것이다. 내가 우주에 존재하게 될 가능성이 Zero(제로)였다면 나는 지금 존재하지 않았을 것이다. 그 가능성이 0이 아니였기 때문에 우주(∞)에서 나(가능성)는 존재한다. 모든 존재(태극)는 가능성의 실현이다. 주사위(가능성)을 무한(∞)히 굴려서(순환) 1, 2, 3, 4, 5, 6의 눈이 100%로 무한(∞)한 횟수만큼 나왔다면 그 주사위의 눈은 1, 2, 3, 4, 5, 6으로 구성되어 있음은 분명하며 7이라는 눈은 나오지 않았으니 주사위의 눈에는 7이 존재하지 않음(Zero, 無無) 또한 분명하다. Zero(제로)는 이 우주의 모든 공간, 모든 시간(태극)에서 존재로서 실현되지 않는다. 이 우주에 지금 내가 존재한다는 것은 '나'는 이 우주를 구성하는 주사위의 '눈' 중 하나라는 것이며 주사위가 반복(순환)된다면 주사위의 눈으로 존재하는 모든 것들의 존재 가능성은 필연적(100%)이며 반복 횟수는 무한(∞)하다.
저것은 완전하고 이것도 또한 완전하도다. 완전함으로부터 완전함이 생겨 나왔도다. 완전함에서 완전함을 빼내었으나 여전히 완전함이 남았도다. -《이샤 우파니샤드》
변하는 이 세상은 불변인 신으로 꽉 차 있네. 그러니 인간들이여! 변하는 세상에 집착하지 말고 버림과 비움의 지혜로 부디 탐욕에서 벗어나게나. -《이샤 우파니샤드》
모든 존재가 자기 안에 있고 자기가 모든 존재 안에 있다는 것을 아는 자는 누구도 미워하지 않는다. -《이샤 우파니샤드》
모든 시간(공간, 존재, 태극)에 내가 존재할 가능성이 존재하며 시간(방향)의 구별은 없다.
프리드리히 빌헬름 니체(Friedrich Wilhelm Nietzsche)는 에니저 보존 법칙를 접하고, 한정된 공간의 에너지는 무한한 시간에서 결국, 동일한 순서를 반복하게 될 것이라 생각했다. 다음은 니체가 남긴 글이다.
"이 세상이 일정한 크기의 힘과 일정한 수의 힘의 중심이라고 생각한다면, 존재의 거대한 주사위 놀이 속에서 계산 가능한 수의 조합들을 계속 되풀이하는 수밖에 없다. 무한의 시간 속에서 가능한 모든 경우의 조합이 빠짐없이 한 번씩은 나타나게 될 것이고, 더 나아가 무한히 여러 차례 나타날 것이다. 그리고 각각의 조합과 다음번에 그것이 다시 되돌아오는 것(회귀) 사이에는 생각할 수 없을 정도로 많은 조합들이 일어날 수밖에 없고, 또 그 각각의 조합마다 전체 조합들이 일어나는 순서에 있어서 똑같은 조건인 만큼, 절대적으로 동일한 순서의 순환이 입증될 수 있을 것이다."
전세(前世)란 것은 이 세상에 태어나기 이전의 세상을 이르는 말이지만 영화 타임 패러독스(2014)처럼 이 태어나기 이전의 세상의 시간이라는 진행선은 이전이면서도 그 이전에는 이후가 포함될 수 있다. 시간이 일방향으로만 흐른다고 생각하는 것은 인간의 관점에서만 그러할 수도 있는 일이다. 지구를 자꾸 걸어 나가면(내세) 온 세상 어린이(장엄겁, 전세)를 다 만나고 원래 있던 자리(현세)로 돌아올 수도 있다. 또한 영화 타임 패러독스(2014)를 보면 같은 현상을 두고 같은 인간이 서로 다른 인연(因緣, 보유 정보량)에 의하여 다른 판단(결론)을 하는 것을 볼 수 있다. 같은 인간이라도 과거에는 또는 미래에는 인연이 다르기에 다른 판단(결론)을 하였거나 하게 된다.

옷깃만 스쳐도 500겁의 인연이라는 말이 있는데, 옷깃을 서로 스치려면 최소한 인간으로 태어나야 하고 옷도 입어야 하며 같은 시간대에서 살아가야 한다. 억 단위의 시간 단위를 갖는 우주에서 단 100년 남짓을 서로 다른 시간대에서 태어나는 것만으로 옷깃이 스치는 일은 절대 일어나지 않게 된다. 현재 우리가 살아가는 지구에서 사는 사람들은 지구의 모든 인간과 옷깃이라도 스칠 가능성이 존재하나 소수의 몇몇과만 옷깃이 스치는 사건이 발생한다. 이러한 가능성이 실현되기 위해서는 500겁, 즉, 우주가 500번 정도 순환(반복)할 때 어떤 사람과 옷깃이 1번 스치는 일이 발생한다는 의미이며 옷깃만 스쳐도 그 사람과는 500겁의 인연(인과)가 존재한다는 것이다. 우리가 누구와 옷깃을 스칠지는 지구가 먼지이던 시절부터 정해진 것일지도 모른다. 먼지의 위치가 달랐다면 다른 사람과 옷깃이 스쳤을지도 모른다. 지구를 이루던 먼지의 위치는 또한 빅뱅에서부터 인연(관계, 인과)하고, 빅뱅은 우주의 이전에서부터 인연할 것이다. 누군가와 옷깃을 스치는 일은 500겁(번)에 1번 일어나는 사건이다.
※겁(劫): 어떤 시간의 단위로도 계산할 수 없는 무한히 긴 시간. 하늘과 땅이 한 번 개벽한 때에서부터 다음 개벽할 때까지의 동안이라는 뜻이다.
※개벽(闢): 세상이 처음으로 생겨 열림.
즉, 겁(Complex, 혼돈)이란 인과이며 인연이며 과거이며 현재이며 미래이며 필연적인(100%, ∞) 확률(가능성)이다.
1,000겁에 같이 선근을 심은 자는 한 국토(나라)에 나게 되고, (원 페어)
2,000겁에 같이 선근을 심은 자는 하루 동안 동행하고, (투 페어)
3,000겁에 같이 선근을 심은 자는 하룻밤을 자게 되고, (트리플)
4,000겁에 같이 선근을 심은 자는 한 고향의 동족으로 나게 되고, (스트레이트)
5,000겁에 같이 선근을 심은 자는 한 동네에 나서 살게 되고, (마운틴)
6,000겁에 같이 선근을 심은 자는 하룻밤 동안 동침하고, (플러시)
7,000겁에 같이 선근을 심은 자는 한 집에 나서 살게 되고, (풀하우스)
8,000겁에 같이 선근을 심은 자는 부부 되어 살게 되고, (포카드)
9,000겁에 같이 선근을 심은 자는 형제 되어 살게 되고, (스트레이트 플러시)
10,000겁에 같이 선근을 심은 자는 부모 또는 사제 간이 된다. (로얄 스트레이트 플러시)
1겁이란 주사위를 1번 굴려보는 것과도 같다. 1번만 굴려서는 1, 2, 3, 4, 5, 6중에 결괏값으로 나오지 않는 수가 5개는 될 것이다. 많이 굴릴수록 모든 수가 1번 이상 나오게 될 확률은 올라가며 무한(∞)히 굴린다면 필연이 된다. 1겁(번)이라는 시도만으론 낮은 확률(가능성)의 족보는 완성될 수 없지만 10,000번(겁)을 시도한다면 낮은 확률이라도 그것이 나올 확률은 1번 시도하는 것에 비교하자면 10,000배(필연)가 된다. 우주가 1번 개벽하는 것으론 불가능한 확률이라도 우주가 여러 번 개벽(순환)할수록 낮은 확률들의 일들이라도 일어난다는 뜻이며 현세의, 나의 자식이 나의 자식으로 태어나기 위해서는 우주 상에 존재할 수 있는 모든 조건이 하나도 빠짐없이 지금과 같아야 한다. 이 조건은 우주의 시작과 동시에서부터 생겨나는 인연(인과)이지만, 우주의 시작이라는 인연 또한 우주가 존재하기 이전{장엄겁(莊嚴劫)}부터 생겨난 인연에 의한 것이므로(우주가 생겨나기 이전의 인연 또한 그렇다) 우주가 생기기 이전의 이전, 무한한 과거까지의 모든 인연에 의해서 현재의 과(果, 결과)들이 생겨난 것이며 이것들은 확률(가능성)이면서도 필연적이다.
※현재 자식이 있는 사람이라면, 현재의 배우자가 아닌 다른 사람과 부부의 연을 맺게 되었다면, 현재의 자식이 아닌 다른 자식이 태어났을 것이다. 현재의 같은 자식과 부모의 연을 맺기 위해서는 최소한 8,000겁의 인연으로 현재의 배우자와 부부의 연을 맺어야 하고 나의 유전자와 상대의 유전자로 자식이 태어나는데 유전자의 조합(배열)은 완전히 Random(무작위) 하며 이는 2,000겁의 인연 더 필요하다. 자식과 부모의 연을 맺는 데에는 도합 10,000겁의 인연으로 맺어진 것이다.
인간은 찰나(刹那, 현재)를 영원히{겁(劫)} 사는 존재이다. 또한, 존재란 찰나(刹那)이다. 존재의 탄생 이전(비존재)에는 영원(∞)이라는 시간이 존재하며 존재의 죽음 이후 또한 영원(∞)이라는 시간이 존재한다. 존재한다는 것은 그 영원(∞)과 영원(∞), 비존재(Zero)와 비존재(Zero) 사이의 한순간의, 찰나(존재)이다. 존재가 존재하지 않는 영원(∞)한 비존재(Zero)의 시간은 영원(∞)하면서도 영원하지 않다(Zero). 어떤 것이라도 0을 곱하면 Zero(제로)가 된다. 존재가 존재하기 이전에는 시간(∞)을 인지할 수 없다(Zero). 존재가 존재(소멸)한 이후 또한 시간(∞)을 인지할 수 없다(Zero). 존재가 인지할 수 있는 시간이란 살아 숨 쉬는 시간, 영원(∞)과 영원(∞) 사이의 섬광 같은 찰나(존재)의 시간뿐이다. 영원(∞, 비존재)과 영원(∞, 비존재) 사이, 찰나(존재) 또한 영원(∞)하다. 존재의 처음(탄생)부터 끝(소멸)까지 찰나(시간)로 영원(∞)하며 처음과 끝의 이전이나 이후란 영원(∞)하면서도 존재하지 않는다(Zero). 모든 것은 우주(삶)의 경계 안에서 존재하며(태극) 경계 밖에는 "아무것도 없다"라고도 말할 수 없다. 아니, 말할 수 없다고도 말할 수 없다. 단지 " "라고 말할 수 있다. 아니, 없다. 단지 " " 아니, 단지(무극).
※찰나(刹那): 매우 짧은 시간, 탄지경보다 짧은 시간.
※탄지경(彈指頃): 손가락을 튕길 동안의 아주 짧은 시간.
※"아무것도 없다"라는 개념 또한 개념이 존재하는 것이다. 없다는 판단을 위해서는 있다는 반대 개념이 필수적(쌍생성)이다. 없음(無)이라는 것 또한 모든 것(태극)에 포함된다. 없음(無)조차 없는 것(無)이 무극{無無, Zero, 없을 무(無), 다할 극(極)}이다.
※쌍생성(Pair Production): 입자와 반입자가 쌍으로 생성되는 현상
가장 끔찍한 불행인 죽음은 사실 우리에게 아무것도 아니다. 우리 자신이 존재하고 있는 한 죽음은 우리와 아무 상관 없다. 하지만 죽음이 우리를 찾아왔을 때 우리는 이미 사라지고 없다. 따라서 우리가 살아 있든 이미 죽었든 간에 죽음은 우리와 무관하다. 살아 있을 때는 죽음이 없고 죽었을 때는 우리가 없기 때문이다. -에피쿠로스

우리는 죽음을 두려워할 수도 있으나 죽음은 존재하지 않는다(존재하지 않는 것, 존재하지 않게 되는 것이 죽음이다). 살아 있을 때는 죽음이 없고 죽었을 때는 내가 없다. 죽음은 어디에도 없다. 또한 죽는다면 어디에도 그 무엇도 없다. 내가 태어나기 이전 고통도, 슬픔도, 억울함도, 아쉬움도 그 무엇도 없었듯이 죽은 뒤 또한 그 무엇도 존재하지 않는다. 아무리 인생이 비참하더라도, 휘황찬란하더라도 죽음은 모두에게 평등하다. 슬픔은 살아 있는 자의 몫이며 죽은 자에게는 아무것도 없다. 죽은 자조차 없다. 없음조차 없는 것이 Zero(無無)이다. 누군가 억울하게 죽었다면 그 죽은 자의 죽음 억울한 것이 아니다. 죽기 직전까지 억울하였으며 그 죽음을 인지하는 다른 존재들이 그것을 억울하다고 생각할 따름이다. 죽은 자는 생각하지 않는다. 인지하지 않는다. 억울함(우주)이란 우리의 뇌 안에 존재하는 섬광(찰나) 같은 전기신호(존재, 실체)이다.
나는 생각한다. 그러므로 나는 존재한다. -르네 데카르트

모든 일은 일기일회(一期一會)하지만, 일기일회(一期一會)는 일기일회(一期一會)하지 않고 반복(순환)된다.
※일기일회(一期一會): 평생(平生)에 단 한 번 만남. 또는, 그 일이 생애(生涯)에 단 한 번뿐인 일임.
우주를 구성하는 것은 물질과 법칙이다. 그렇다면 그중 물질(닭, 유물, 현상)이 먼저인가? 법칙(달걀, 관념, 이데아)이 먼저인가? 유물론자들은 물질이 우주의 본질이며 법칙이란 것은 그저 물질이 존재하니 그것에 따라 존재하는 것이거나 그저 인간이 만들어낸 허상(수학)일 뿐이라고 믿는다. 관념론자들은 법칙이 먼저{根(뿌리 근)}이며 물질이란 이런 根(근)이 없이는 존재할 수 없으니 물질의 본질은 根(근, 관념)이며 물질이란 그저 홀로그램(허상)이라고 믿는다. 물질(유물)이 법칙(관념)을 만드는 것인지, 법칙이 물질을 만드는 것인지, 무엇이 먼저인지는 답하기 어렵다. 그것은 방향도 위치도 구별이 되지 않는다. 순환은 Ouroboros(우로보로스)이며 원형에는 시작도 끝도 없다. 그것은 동시성(필연적)이며 원형의 모든 부분이 시작이면서 동시에 끝이다. 닭이 먼저인가? 달걀이 먼저인가? 존(제인)은 수탉(Rooster)이라고 답한다. '아담과 하와'(인간)는 선악과{因(원인)}를 먹고{수탉(Rooster)} 낙원{무극(無極)}에서 추방{果(결과)}되었다.
※(아마도) 우주는 사겁으로 순환하는데, 간단히 생성(닭, 이전)→소멸(달걀, 이후) 또는 소멸(달걀, 이전)→생성(닭, 이후)을 반복하고 있다고 할 수 있다(라고 믿는다). 생성이 필연적으로 소멸이라는 인연(인과)을 만든 것인지, 소멸이라는 인연이 생성을 필연적으로 만든 것인지는 무엇을 먼저(이전)로 보냐에 따라 답은 달라진다.
※사겁(四劫)
성겁(成劫): 이룰 성(成), 세계가 파괴되어 없어진 후 아주 오랜 세월이 지나 다시 세계가 생기고 인류가 번식하는 기간.
주겁(住劫): 살 주(住), 인류가 세계에 안주하는 기간.
괴겁(壞劫): 무너질 괴(壞), 세계가 무너져 멸망하는 기간.
공겁(空劫): 빌 공(空), 이 세계가 무너져 사라지고 다음 세계에 이르기까지의 기간.

슈뢰딩거의 고양이란 막스 보른(Max Born), 자신이 만든 파동방정식의 해(파동함수)가 확률을 뜻한다고 주장하자 물리학에 불확정성(가능성, 확률)이 도입된 것에 대해 반발해(부정하기 위해) 에르빈 루돌프 요제프 알렉산더 슈뢰딩거(Erwin Rudolf Josef Alexander Schrödinger)가 고안한 사고 실험이다. 슈뢰딩거는 양자역학을 좋아하지 않았지만, 오늘날에는 양자역학의 대표적인 예시로 쓰인다. 양자역학에 의하면, 미시적인 세계에서 일어나는 사건은 그 사건이 관측되기 전까지는 확률적으로밖에 계산할 수가 없으며 가능한 한 서로 다른 상태가 공존(중첩)하고 있다고 말한다. 슈뢰딩거가 제안한 이 사고 실험은 우연적으로 일어나는 미시적인 사건이 거시적 세계에 영향을 미칠 때 어떻게 되는가를 보여주는 것으로, 하나의 Paradox(역설, 모순)로서 거론된다.
※사고 실험: 실행 가능성이나 입증 가능성에 구애되지 아니하고 사고상으로만 성립되는 실험
사고실험의 내용은 다음과 같다. 고양이 한 마리와 청산가리가 든 유리병, 방사성물질 라듐, 방사능을 검출하는 가이거 계수기, 망치가 상자에 들어 있다. 상자는 외부 세계에 차단되어 있고, 밖에서 내부를 볼 수 없다. 라듐 핵이 붕괴(50%)하면 가이거계수기가 그걸 탐지한다. 그러면 망치가 유리병을 내려쳐 깨게 돼 청산가리가 유출된다. 청산가리를 마신 고양이는 죽게 된다. 라듐이 붕괴할 확률은 1시간 뒤 50%이다. 1시간 뒤 고양이는 죽었을까 살았을까? 양자역학에 따르면 관측하지 않은 핵은 붕괴한 핵과 붕괴하지 않은 핵의 중첩으로 설명되지만, 1시간 후 상자를 열었을 때 관측자가 볼 수 있는 것은 붕괴한 핵과 죽은 고양이 또는 붕괴하지 않은 핵과 죽지 않은 고양이뿐이다. 슈뢰딩거는 중첩된 상태(50%, 삶과 죽음의 중첩)를 설명하기 위해서 이 사고 실험을 고안한 것이 아니며 고양이는 반드시 살아있거나 죽은 상태여야 한다고 믿었다. 원자 역시 붕괴했거나 붕괴하지 않았거나 둘 중 하나라는 것이다.
불확정성 원리란 관측가능량(Observable)을 동시에 측정할 때, 둘 사이의 정확도에는 물리적 한계가 있다는 원리이다. 불확정성 원리는 양자역학에 대한 추가적인 가정이 아니고 양자역학의 통계적 해석으로부터 얻어진 근본적인 결과이다. 베르너 카를 하이젠베르크(Werner Karl Heisenberg)의 불확정성 원리는 위치-운동량에 대한 불확정성 원리이며 입자의 위치와 운동량을 동시에 정확히 측정할 수 없다는 것을 뜻한다. 위치(가능성의 실현)가 정확하게 측정(믿음, 인지, 왜곡, 행위)될수록 운동량의 퍼짐{또는 불확정도(가능성, 경우의 수)}은 커지게 되고 반대로 운동량(모든 가능성, 모든 경우의 수)이 정확하게 측정될수록 위치(현상)의 불확정도(미정)는 커지게 된다.
닭(태극, 존재, 유물)이 먼저인지 달걀(무극, 비존재, 관념)이 먼저인지 또한 우리 인간이 관측(믿음, 왜곡, 편향)하기 전까지는 중첩상태{원형, 순환, Ouroboros, ∞, 음과 양이 하나인 상태(태극)}에 놓여있으며 그것을 인간이 관측(믿음, 인지, 해석, 이해, 사고, 사유)하는 순간 분리된다. '아담과 하와'(인간)는 선악과{선악(음양, 옳고그름)의 구별(해석) 능력, 인지, 해석, 이해, 사고, 사유}를 먹고 낙원{무극(無極)}에서 추방(분리)되었다.

불교에는 흔히 전승되는 고승(高僧)에 대한 이야기가 있다. 그 이야기란 고승의 제자가 고승에게 질문(해석, 사고, 사유)을 하자 죽비(소리만 크게 나는 대나무 매)로 맞았으며 제자가 고승에게 질문을 할 때마다 고승{善(선)}은 죽비로 제자(인간)를 내려치고 제자가 더 이상 질문을 하지 않게 되었을 때(중첩에 대한 이해, 태극에 대한 이해, 깨달음의 상태) 비로소 고승 또한 더 이상 죽비로 치지 않았다는 고승(高僧)에 대한 이야기는 불교에서 흔히 전승된다. 이것은 범망(梵網, 범천의 그물)에 대한 이해를 돕기 위한 이야기이며 범망경(梵網經)을 보면 도움이 될 것이다. 범망경(梵網經)에 대해서는 추후에 다른 글에서 적도록 할 것이다.
조던 번트 피터슨(Jordan Bernt Peterson, 1962.6.12~)은 무엇을 희생할 것인지 결정하라고 말한다. 불교에서의 궁극적 깨달음은 중첩(태극)을 이해하는 것인데 피터슨은 그러한 중첩 상태(Peter Pan 상태, 잠재력, 가능성만이 충만한 상태)에서 벗어나라고 말하므로 이 두 가지를 이해하는 사람에게는 불교의 메시지가 모순적으로 보일 것이다. 이로 인해 불교는 허무주의에 가까우며 허무주의로 사람들을 인도하는 종교로 오해받기도한다. 하지만 이것은 오해이며 기억해야 할 점은 고승(高僧)의 이야기에서 고승{善(선)}은 제자(인간)가 깨달은 것(중첩)이 깨달음{善(선)}이라고는 제자에게 단 한 번도 말한 적이 없다는 점이다. 단지, 질문(해석, 사고, 사유)할 때마다 죽비로 내려쳤을 뿐이다. 하지만 깨닫지 못한 우매한 인간이 그것(중첩)을 깨달음{善(선)}이라고 생각(집착)할 뿐이다. 욕망(+)이 해소되길 바라는 욕망(+) 또한 욕망(+)이지만 자신이 무욕(Zero, 無無, 무극, 중첩, 깨달음, 0)하길 바라는 욕망(+) 또한 욕망(+)이다. 욕망하지 않음(0, Zero)을 욕망(+)하고 있지 않은가? 깨닫기(+)를 욕망(+)하고 깨달음(+)을 깨달음(+)이라고 생각(집착)하는 것은 깨달음(∞)이 아니다. 이만 글을 마친다.
'목록 > 잡다한 아무 생각' 카테고리의 다른 글
| 돈오점수(頓悟漸修)와 돈오돈수(頓悟頓修), 깨달은 척 하지 말라. (0) | 2024.07.16 |
|---|---|
| 관점에 따른 정의(正義)의 차이 (0) | 2024.07.16 |
| 정의(正義)란 무엇인가? (0) | 2024.07.16 |
| 전세(前世)란 무엇인가? (0) | 2024.07.16 |
| 신은 어디서 왔는가? (0) | 2024.03.23 |
| 긍정적인 인간은 자신의 운명을 사랑한다. (0) | 2024.03.18 |
| 삶에서 가장 시급한 일 (0) | 2024.03.18 |
| 철학이란 무엇인가? (2) | 2024.03.17 |