전세는 삼세(三世)중 하나로 삼세는 전세(前世), 현세(現世), 내세(來世)를 뜻하며 전세(前世)는 세상에 태어나기 이전의 세상을, 현세(現世)는 지금 살아 있는 세상을, 내세(來世)는 죽은 뒤에 다시 태어나 산다는 미래의 세상을 뜻한다. 삼세(三世)는 과거, 현재, 미래라는 시간 축이다. 이런 시간 축을 통해 이동하는 곳은 공간이다.
공간은 시방(十方)이라는 공간 축으로 구성된다. 시방(十方)이란 10(十)방위를 뜻하며 10방위는 팔방(八方), 8방위와 상하(上下), 2방위로 이루어진다. 팔방(八方)은 동, 서, 남, 북의 사방(四方)과 동북, 서남, 남동, 북서의 사우(四隅)로 구성된다.
공간 축을 시간 축을 합쳐 시방삼세(十方三世)라고 하며 이는 끝없는(무한한, 순환하는) 시간과 공간을 지칭한다.

팔방(八方)은 팔괘(八卦)를 의미하며 위 그림은 주문왕(周文王)의 후천팔괘도(後天八卦圖)이다.
각 괘의 방위는 다음과 같다.
☳: 진(震), 동.
☱: 태(兌), 서.
☲: 이(離), 남.
☵: 감(坎), 북.
☶: 간(艮), 동북.
☷: 곤(坤), 서남.
☴: 손(巽), 남동.
☰: 건(乾), 북서.
이러한 팔괘(八卦)는 태극(太極, 1)→양의(兩儀, 2)→사상(四象, 4)→팔괘(八卦, 8) 순으로 생성되는 것으로 만물(우주의 모든 물질)을 상징한다. 시방(十方)은 10방위인데 이러한 팔방(八方)에 위(上)와 아래(下)를 합쳐 10방위, 시방(十方)이 된다.

이 팔방(八方)이라는 것은 가로(-)축과 세로(+)축을 갖는 면(Base, 토대, 2차원)이며 여기에 위(上)와 아래(下)라는 Height(높이)를 더 하면 3차원의 Cube(입체, 현실)가 완성된다. 위(上)와 아래(下)라는 것은 계층(Layer)을 의미하고 8괘(八卦)에 8계층을 곱한 것이 64괘(六十四卦)가 된다.
8괘(八卦)나 8계층에서의 8이라는 수의 의미는 지속과 반복, 즉, 순환(∞)을 상징한다. 순환을 상징하기에 명암(明暗)이나 생사(生死) 같은 대립하는 두 가지를 동시에 의미하는 것이기도 하다. 하루에 1번씩 해(明, 양, +)와 달(暗, 음, -)이 지구를 순환하기에 8이라는 수는 이러한 음양(2)을 내포하는 수(8)이며 우리의 생사(2) 또한 인간은 살아가면서 피부의 가장 바깥의 죽은 세포(-)가 떨어져 나가는데, 떨어져 나가기만 한다면 피부는 남아나질 않고 감염으로 인해 사망할 것이다. 안쪽에서부터 새로운 세포(+)가 재생하여 우리의 순환 시스템(8, 육체)을 유지하며 또한 음식(영양분)을 섭취하는 것(+)과 배설하는 것(-)으로도 생명(육체)을 유지한다. 이러한 음식의 섭취란 것은, 음식이라고는 하지만 사실 그 음식이란 내가 아닌 다른 동식물일 것이다. 그러한 동식물들의 섭취는 그 동식물들의 입장(피식자 관점)에서는 멸(滅, 소멸, 죽음)이 되며 섭취자의 입장(포식자 관점)에서는 생(生, 삶, 생명)이 된다. 해(解)와 달(月)의 순환으로 하루(日)가 완성되듯 이러한 생과 멸의 순환으로 존재(생물과 무생물)를 완성한다. 이러한 순환(∞. 무한대)은 음양(2)의 궁극적인 조화, 균형을 나타내기도 하며 이런 순환이 없으면 모든 존재는 유지되지 못하고 사라지게(멸, 滅) 된다. 이러한 순환을 생멸변화(生滅變化)라고 하며 생멸변화로 인해 만물은 무상(無常)하게 된다. 그 의미는 일체의 만물(모든 존재)은 끊임없이 한 순간도 동일한 상태에 머물지 아니한다는 것이다. 이것의 원인은 우주(Entropy)의 방향성은 멸(滅)로 흐르려고 하지만 존재는 방향성은 그것에 저항하여 생(生)으로 흐르려 하는 것으로 이해할 수 있으며 이는 마치, 공장의 컨베이어 벨트가 왼쪽에서 오른쪽으로 흐를 때, 왼편의 작업자가 망치를 들고 무언가 만들어서 오른쪽으로 보내면 오른편의 작업자가 그것을 망치로 부수는 것과 같다. 하지만 사실 이 컨베이어 벨트는 원의 형태로 이루어져 있어서 한 바퀴를 돌아서(순환) 부서진 잔해가 다시금 왼편의 작업자에게 도착하면 왼편의 작업자는 그 잔해로 다시금 무언가 만들어낸다. 그러면 오른편의 작업자가 그것을 또 부수는 것이다. 이러한 생멸변화는 끝이 없다. 8이라는 수는 전체를 지칭하는 수이면서 그 전체란 100%의 전체가 아닌, ∞%(Infinity, 극한, 극, 태극)의 전체를 지칭한다.

위 사진은 나이아가라강(江)의 중간에 위치한 폭포 사진이다.
※강(江): 넓고 길게 흐르는 큰 물줄기.

1969년 6월 12일, 미국에서 댐 공사를 하기 위해 나이아가라강의 물줄기를 막았고 나이아가라 폭포의 바닥이 드러났다. 댐 공사가 끝나고 같은 해 11월 25일부터 나이아가라강의 물줄기는 다시 흘렀다. 이는 인간이 인위적으로 댐 공사를 위해 물줄기를 막아낸 것이지만 1911년에는 한파로 인해 강이 얼어붙기도 하였으며 시간이 지나고 나면 침식에 의해 폭포가 사라질 수도 있고 그 형태는 지금과 같지는 않을 것이다.
이러한 나이아가라강(江)의 변화를 보면 만물이 무상(無常)함을, 고정된 상(형태)을 갖지 않음을 알 수 있다. 상(常)은 항상 상, 무(無)는 없을 무로 항상 같은 것은 없다는 것이다. 나이아가라강 또한 생멸변화하고 무상한데, 유상한 유일한 것이 하나있다. 그것은 나이아가라강에 붙인 나이아가라강이라는 이름(이데아)이다. 사실이 강(江)의 의미를 보자면 1969년에는 나이아가라 돌바닥, 1911년에는 나이아가라 얼음덩어리라고 부르는 것이 더 의미에 맞지 않겠는가? 물줄기가 없어졌는데도 여전히 나이아가라 강이라고 지칭한다. 이는 의미에 맞지 않는 일이다. 하지만 그렇게 부르지 않는 이유는 그것이 일시적 현상이지 영구적인 것은 아니기 때문일 것이다. 영구적인 변화로 더 이상 강(江)일 수 없다면 다른 이름으로 부르게 될 것이다.
인간 또한 육체와 정신 둘 다 강처럼 흐르고, 생멸변화(生滅變化)하며 성장에 따라 영구적인 변화를 하여 무상(無常)하다.
그럼에도 여전히 그 사람은 그 사람으로 인식되며 이름 또한 (개명하지 않았다면) 변하지 않는다.

나이아가라강은 이리호(湖, 호수)와 온타리오호(湖)를 잇는 56km 길이의 강이다. 나이아가라강에서 강물을 한 컵 퍼 올린다면 그것은 나이아가라의 강물인가? 나이아가라의 강물이 맞는가? 이리호의 물일 수도, 온타리오호의 물일 수도 있다. 아니면 그저 컵 속의 물 한 컵일 수도 있다. 언제부터 나이아가라의 강물이 되는 것이며 언제부터 나이아가라의 강물이 아니게 되는 것일까? 이리호에 있을 때는 이리호의 물이 되고 온타리오호에 있을 때는 온타리오호의 물이 되고 나이아가라강에 오니 나이아가라강물이 된다. 우리는 그 물을 서로 다른 물로 인식하고 다른 이름을 붙여준다. 물이 어디에 있든지 똑같은 물이라는 분자 구조를 갖는데도 말이다.

이 동물의 이름은 무엇일까? 이 동물이 아직 움직일 적에 이름은 돼지였다. 움직이지 않게 되니 이름이 많아졌다. 목심, 갈비, 등심, 안심, 뒷다리, 앞다리, 삼겹살, 항정살, 갈매기살, 사태라는 이름으로 불리게 되었고 이것들의 이름은 어느 입구를 지나니 모발, 피부, 지방, 단백질, 칼슘, 나트륨, 인, 수분이라는 이름으로도 불리고 이것들의 이름은 다시 어느 출구를 지나니 똥이라는 이름으로 불리며 다시 시간이 지나니 흙으로 불리고 이 흙은 과거에 쥐, 호랑이, 토끼, 뱀, 원숭이, 전갈, 사마귀, 애벌레, 나비, 개구리, 고래, 상어라는 이름을 가졌던 적도 있었다. 이러한 동물들이 배출하는 똥은 토양(흙)의 양분이 되고, 토양은 식물의 양분이 되고, 식물은 초식 동물의 양분이 되고, 초식 동물은 육식 동물의 양분이 된다. 이러한 생물들은 시간이 되면(임계점) 다시 흙으로, 가이아의 품으로 돌아가게 된다. 대지의 여신인 가이아는 어머니의 마음으로 생명들을 다시 키워내며 순환한다.

Ouroboros(순환)는 자신의 꼬리를 먹으며 살아가는 뱀이다. 자신의 꼬리를 먹으며 살아가며(생) 동시에 자신의 꼬리를 먹으며 죽어간다(멸). 생(生)은 멸(滅)을 만들고 멸(滅)은 생(生)을 만든다. 생은 멸에 의해 존재하며, 멸은 생에 의해 존재한다. 모든 존재는 생멸변화(生滅變化)하며 무상(無常)하다.

이러한 의미에서 8이라는 수의 의미는 순환, 무한, 극한의 의미가 들어있으며 어떠한 고정된 8가지를 뜻하는 것이 아니라 전체를 상징하며 그 전체란 한계가 있는 어떠한 뚜껑 닫힌 유리병 하나를 의미하는 것도 아니며 확장될 가능성 또한 무한한, 한계가 없는 그릇을 뜻하고 시작과 끝 또한 구분할 수 없는 무한함을 뜻하기도 하며 극에서 극으로 지속적으로 순환하는 우주의 에너지를 뜻하기도 한다. 속세적인 의미로 보자면 지속과 반복에서 성공과 부가 나오기에 비즈니스의 성공, 부 등을 상징하기도 한다.
이 나이아가라강이라는 명칭은 형이상(形而上)에 해당하는 것이고 나이아가라강 그 자체는 형이하(形而下)에 해당한다. 형(形)은 형상을 말하는 것으로 형상을 가질 수 있는 형체(만물)를 말하는 것이다. 형이하(形而下)는 그러한, 시공간 속에서 형체를 갖고 인간이 감각으로 인지할 수 있는 만물을 지칭한다. 형이상(形而上) 그러한 형체가 인간의 감각으로 인지하거나 존재를 파악할 수 없으며 시공간을 초월한 관념적인 것을 지칭한다. 앞서 시방(十方)은 팔방(八方)과 상하(上下)로 이루어진다고 하였는데, 형이상(形而上)과 형이하(形而下)를 보면 상하(上下)가 들어간다. 이로써 우리는 계층이 무엇으로 이루어져 있는지 갈피를 잡게 된다. 가장 밑(下)의 계층은 물질, 형이하(形而下) 또는 색(色)이라 불리는 것들이 존재하는 계층일 것이며 그 위(上)는 형(形)을 초월한 관념, 형이상(形而上), 신(神)이라 불리는 것들이 존재하는 계층일 것이다.
유물론(Materialism)자들은 이러한 형(形)을 초월한 관념(관념론)이란 실재하지 않는다고 믿으며 만물{형(形)}의 근원{신(神)}을 물질 그 자체라고 본다. 또한 모든 정신 현상을 물질 작용의 산물이며 물질이 실체라고 믿는다. 어떤 대상이 실재한다는 의미란 그 대상을 지칭하는 단어가, 실제로 존재하는 대상을 지칭하고 있다는 의미이다. 빛이란 단어는 실제로 존재하는 광자(존재, 양수, +)를 지칭하기에 실재하나 어둠이라는 단어가 지칭하는 물질은 빛을 구성하는 광자의 적음 또는 부재를 뜻하기에 실제로 어둠이라는 단어가 어떠한 어둠이라는 물질을 지칭하는 단어가 아니기에 어둠은 실재하지 않는다. 빛(존재, +)의 강도인 그 빛의 밝음은 빛을 구성하는 광자의 수의 증가나 밀집에 의해서 더 강해지거나 또는 반대로 약해지는 것이 가능하지만 어둠(비존재, -)이라는 단어가 지칭하는 물질은 존재치 않기에 증가하거나 밀집할 수 없고 어둠의 강도는 표현될 수 없으며 어둠(비존재)의 강도(수량)는 증가할 수 없다. 돈을 뺏어가지 않고 -1,000원 주는 방법 또는 동전 1개, 0개, -1개를 상상해보라. 또 다른 예시로는 우리가 사용하는 온도의 단위인 섭씨(°C)에 대해서 생각해보면 좋을 것이다. 섭씨(°C)는 0을 기준으로 그 위의 온도이면 영상(+), 그 아래의 온도이면 영하(-)라고 하는 데 온도에도 마찬가지로 영하(음수)라는 것은 있을 수 없고 온도의 최저한이란 온도의 부재(Zero)일 것이며 그것은 0도 일 것이다. 그러한 최저한을 넘어서 영하의 온도라는 것은, 부재(Zero)의 증가라는 존재하지 않는 것을 표현하고 있다. 어떤 물질도 음수로 존재할 수 없으며 음수로 표현된 것들은 실재하지 않는다. 그렇다면 무엇을 영하라고 부르고 있는 것일까? 실재하는 온도를 표현하는 과학적인 단위로는 절대온도인 K가 있으며 Entropy(엔트로피)와 Enthalpy(엔탈피)의 최저점(부재)인 상태를 0K로 정의하며 우리가 사용하는 섭씨 0°C(Zero)는 절대온도 273.15K(양수, 존재, +)에 해당하며 섭씨 영하 온도라는 것도 여전히 절대온도(K)로 보자면 양수(+)로 표현된다. 온도의 음수는 존재하지 않는 것을 지칭함으로써 그것은 실재하지 않는 것을 지칭하는 것이 된다.
※Enthalpy(엔탈피): 열역학 함수의 하나. 계(系) 밖에서 가하여진 압력과 그것에 의하여 변화한 계의 부피의 곱을 계의 내부 에너지에 합한 양으로, 일정한 압력 아래에서 계에 출입하는 열량은 엔탈피의 변화량과 같다.
신(神)이란 귀신을 의미하며, 귀신은 넋을 의미한다. 넋이란 사람의 몸에 있으면서 몸을 거느리고 정신을 다스리는 비물질적인 것이며 몸이 죽어도 영원히 남아 있다고 생각하는 초자연적인 것이다. 형을 초월하는 형이상에 존재하는 것이다. 이러한 형이상에 존재하는 신(神)은 형(形)이 없기에 형이하의 계층에서는 공(空, 빌 공, 비어 있다, 없다)과 같은 것이 된다. 우리의 정신이나 마음은 형이하에서 보여줄 수 없어 그것은 형이하의 계층에서 공(空)이라는 형(形)을 갖으나 분명히 형(形)이 존재한다. 이 형(形)이란 형이상의 계층(이데아)에서 나타나며 우리는 형이하에서 살기에 그것을 감각(칠공)할 수 없어 그저 공(空)과 같다.
반야심경은 600권에 달하는 대반야바라밀다경을 요약한 것으로 260자도 안 되게 짧게 요약하였지만 대승 불교의 깊은 진리를 함축했다는 경전이다. 이러한 경전, 반야심경을 쿠차 왕국 출신의 승려 쿠마라지바(344년~413년)가 산스크리어에서 한문으로 번역하였다. 그런 반야심경에서는 다음과 같은 구절이 나온다.
舍利子 色不異空 空不異色 色卽是空 空卽是色 受想行識 亦復如是
사리자 색불이공 공불이색 색즉시공 공즉시색 수상행식 역부여시
사리자여! 색이 공과 다르지 않고, 공이 색과 다르지 않으며 색이 곧 공이고 공이 곧 색이니, 감각, 생각, 행동, 의식도 그러하니라.
형체를 가진 색(色, 형이하)이 형체를 가지지 않은 공(空, 형이상)과 다르지 않다는 것이며 이 둘은 서로 같은 것으로 감각이나 생각 행동, 의식이라는 공(空) 또한 색(色)과 같다는 것이다. 이것의 의미는 무엇일까?

지구는 내핵(Inner Core), 외핵(Outer Core), 맨틀(Mantle), 지각(Crust)이라는 4계층으로 이루어져 있다. 하지만 우리는 지구를 떠올릴 때, 우리가 사는 지각(Crust)이라는 계층만을 지각(知覺)한다. 이 지각(Crust)은 당연하게도 맨틀, 외핵, 내핵 중 어느 것이라도 없었으면 형성될 수 없었으며 그것 중 하나가 없어진다면 지각(Crust)은 유지되지 못하고 붕괴할 것이다. 지각(Crust)만을 지각(知覺)한다고 하여도 이 지각(Crust)이라는 계층은 다른 계층과의 인과를 내포하고 있지만 우리는 인과를 지각(Crust)의 계층에 국한하여 지각(知覺)하는 경향이 짙다.
※지각(知覺): 감각 기관을 통하여 대상을 인식함. 또는 그런 작용. 그 작용의 결과로 지각체가 형성된다.
※국한(局限): 범위를 어느 한 부분에 한정함.
어떤 공장에서 그 공장의 기계에 재료를 넣으면 기계는 그 인형을 만들어준다. 재료만 넣으면 수도 없이 만들어주는데 그 기계에 저장되어있는 인형의 제조법(설계도)이 인형의 신(神, 근원)이 되고 인형은 그 신의 색(色, 결과)이 된다. 이는 또한 그러한 제조법이란 형이하 계층에서는 감각 할 수 없는 비존재적인 공(空)이다. 여기서 이러한 제조법이 비존재가 아니라는 생각을 할 수도 있다.

우리가 우리의 생각을 공(空)이라고 주장할 때, 이러한 반문을 떠올릴 수도 있다. 우리가 생각할 때 뇌에서 전기신호라는 물질적인 실체가 존재하니 공(空)이 아닌 전기신호라는 색(色)인 것이 아니냐는 것이다. 이러한 오해는 단순히 물질이 존재하니 색(色)이라고 생각하는 데서 빚어지는 오해이다. 형이하의 계층에서 존재하는 것의 전체 데이터는 형이상의 계층의 데이터를 빼고 나면 우리는 그 의미를 파악할 수 없다. 나는 지금 동그라미라는 이데아를 상상해보았다. 이런 생각이 형이하의 계층에서 존재한다는 것을 증명하기 위해서 내 뇌의 전기신호를 관찰하여 'A 뉴런 On, B 뉴런 off......Z 뉴런 on'라는 어느 지점, 어느 뉴런에서 전기신호가 흐르고 흐르지 않았는지를 0과 1로 된 디지털적 데이터를 얻을 수 있을 것이다. 그러한 데이터는 '0101'일 뿐이고 형이하에 존재하는 것은 전기신호라는 색(色)뿐이며 동그라미라는 이데아는 공(空)의 계층에서 존재한다. 컴퓨터의 데이터 파일이란 것은 사실 그 자체만으로는 의미를 알 수 없다. 그것은 Codec을 통해 해석된 뒤 우리는 그 의미를 파악할 수 있게 된다. 우리가 감각할 수 있는 것은 (색의 계층의) 데이터 파일이며 (공의 계층의) Codec이 처리하는 일은 감각 할 수 없다.
※Codec: Codder and DeCoder 음성 또는 영상의 신호를 디지털 신호로 변환하는 코더와 그 반대로 변환시켜 주는 디코더를 통틀어 부르는 용어이다.
동그라미라는 상상이 이데아인 이유는 우리가 공(空)의 계층에서 무언가 상상할 때는 색(色)을 초월하여 완전한, 완벽한 동그라미를 상상하지만, 색(色)의 세계에서 그러한 것은 존재할 수 없기 때문이다. 우리 눈에 어떤 것이 동그라미로 보일지언정 그것을 확대하면 확대할수록 울퉁불퉁하다는 것을 깨닫게 될 것이고 이는 동그라미처럼 보일 뿐인 울퉁불퉁한 무언가이다.

이것은 정말 완벽한 원이지만,

40배로 확대하게 되면 원이라는 형태에는 있을 수 없는 각진 네모의 Pixel(원자, 쿼크)이 보이게 된다.
※Pixel: (컴퓨터상에서) 주소화될 수 있는 화면의 가장 작은 단위.

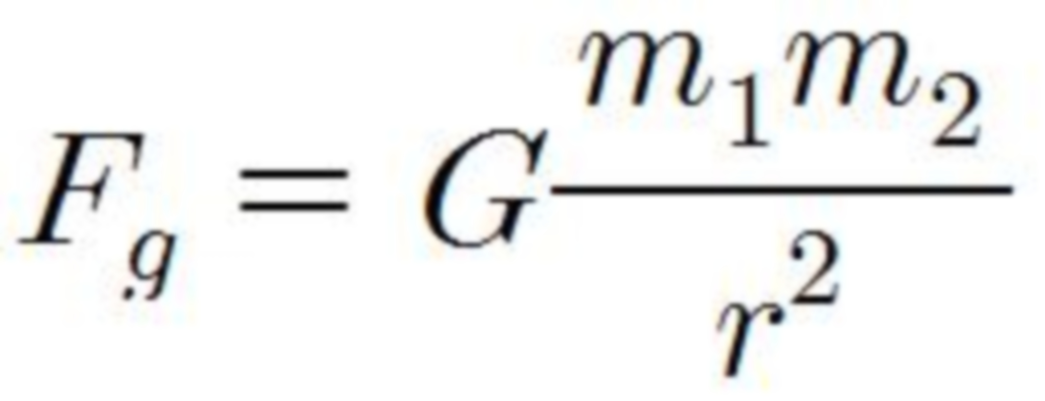
인간의 유잔자 배열을 우리가 감각으로 구분해낼 수 있는 것은 색(色)이지만 도대체 왜 그러한 배열이 인간을 만들어낼 수 있는지는 공(空)의 계층에 존재하는 것이다. 이러한 구분은 색(色)은 Hardware(물리적 부품)로, 공(空)은 Software(컴퓨터의 동작 방법을 지시하는 명령어 집합)로 생각할 수 있다. 인간의 유전자 배열을 우리가 감지할 수 있다는 것은 전자 회로를 구성하는 물리적 물질과 그 회로를 지나다니는 전기 신호를 측정, 감지할 수 있다는 것이고 결국 그러한 것들은 Hardware(하드웨어)의 영역에 불과하고 의미가 없다. 입에 무엇을 넣는다고 그것이 소화가 되는 것이 아니라 소화 과정에 우리의 신체, 온몸이 그것에 개입하여 소화해냄과 같다. 인간의 뇌(Software)가 제대로 기능하지 않는다면 입으로 들어간 음식(Hardware)는 그저 그 원형의 형상 그대로 배 속에 들어가서 가만히 있을 것이다. Hardware(하드웨어)에 모든 것이 존재한다는 생각은 컴퓨터에 존재하는 Software{공(空)}가 없다면 컴퓨터의 Hardware{색(色)}는 어떠한 변화나 소실이 없음에도 아무런 기능을 하지 않는다는 것을 확인한다면 그 생각이 틀렸음을 알게 될 것이다. 우리가 야구공을 배트로 쳤을 때 그 야구공이 배트에 맞아서 날아가는 것을 당연한 것으로 생각할 수도 있지만 그것이 어느 지점에 떨어질 것인지는 물리 법칙(벡터, 관성/가속도/작용과 반작용의 법칙, 저항, 중력 등)으로 예측(계산)할 수 있다. 야구공은 Hardware(하드웨어)라고 할 수 있고 이러한 물리 법칙은 Software(소프트웨어)라고 할 수 있다. 만약, 이런 물리법칙을 조금 변경할 수 있다면 같은 힘으로 타격하여도 야구공은 더 멀리 나아갈 수 있을 것이다. 컴퓨터상에서 시뮬레이션 프로그램을 만들 때, 소프트웨어상에서 물리 엔진의 수치를 조절하여 이를 확인해볼 수 있다. 지구의 중력은 9.807m/s2이고 달의 중력은 1.62m/s2인데, 지구와 달에서 같은 힘으로 점프하여도 다른 위치에 도달할 것이다. 달에서는 지구보다 몸무게가 6배 더 가볍고 그만큼 더 멀리까지 점프할 수 있다. 중력이란 것은 물질적인 것은 아니다. 물질이 중력이 작용하게 만드는 원인이기는 하지만 물질이 중력을 만들어낸 것은 아니다. 중력이란 물질이 존재하기 전부터 존재하고 있었다. 중력은 물질이 색(色)의 계층에서 존재하기 전부터 공(空)의 계층에 존재하고 있다.

중력 법칙은 위와 같다. 물질은 이러한 중력 법칙에 작용받고 그러한 작용을 주변에도 뻗치는 매개체이지, 이러한 법칙을 물질이 만들어 낸 것이라고는 할 수 없다. 어떤 공장에서 만들어진 인형이 그 인형의 제조법를 만든 것은 아니듯이 말이다.
관념론(Idealism)자들은 실체 혹은 우리가 알 수 있는 실체는 근본적으로 정신적으로 구성되었거나 혹은 비물질적이라고 믿는다. 위의 원의 경우처럼 우리의 정신(관념) 속에서 존재하고 발견되는 원이 원이라는 개념에 비추어 볼 때 현실에서보다 그 정신 속에서 그 개념과 완전히 일치하기에 그러한 완전한 이데아의 세계, 비물질{공(空)}의 계층을 더욱 실체에 가깝다고 생각하며 현실에 나타나는 것은 그러한 완전한 세계의 홀로그램이라고 믿는다. 공장에서 만들어지는 인형은 설계도를 완전히 재현해내지 못하기에 그것은 실체라기보다 홀로그램이라고 보는 것이다. 미국 태생의 영국인 물리학자 데이비드 조세프 봄(David Joseph Bohm)은 홀로그램 우주라는 가설을 주장하였다. 우주와 경험적 현상 세계는 전체의 일부분일 뿐이며 우리가 보는 부분의 모습은 홀로그램의 간섭무늬처럼 질서가 결여된 모습이고, 실제 의미를 가진 전체는 더 깊고 본질적인 차원의 현실에 존재한다는 이론이다. 유물론(Materialism)자들은 인형의 설계도(물리법칙)가 인형을 관찰하여 인형으로부터 나온 것이며 그것을 역학적으로 기술해낸 것이므로 인형이 실체라고 믿는다. 유물론은 존재하는 모든 것은 물리적이라는 견해인 물리주의와 밀접하게 연관되어 있고 물리학이 발견되면서 유물론에서 발전하였으므로 물리학은 유물론에 뿌리를 둔다고 할 수 있다.
위 영상은 DNA가 단백질을 생성해내는 과정을 설명하는 영상이다. 영상을 보면 이러한 작은 세계의 세포들에게 뇌(기억 저장, 정보 처리, 목적의식)라는 기능을 하는 부위가 있는 것처럼 보이지는 않는다. 그런데도 단순히 생명의 창조를 우연이나 확률이라고 설명하고 넘어가는 경우가 있으며 그것을 듣는 사람들도 그것에 대해서 큰 의문을 품지 않기도 한다. 이것을 그저 우연이라는 확률로 이해하는 것은 실제 세계를 이해함에 있어 큰 간극이 존재하는 것이다. 어떤 사람이 이것을 비꼬기를 벽돌을 쌓아놓고 다이너마이트를 터트렸더니 그 폭발에 의해서 폭발의 반대 방향으로 벽돌들이 날아가면서 단지 우연에 의해서 어쩌다 벽돌이 날아간 그 자리에 인간이 목적성(지능, 설계)을 갖고 지은 집과 완전히 동일한 완벽한 집이 지어졌다는 것이다. 그 누구의 개입도 없이 단지 우연히 말이다(개입이란 종교적인 신을 의미하고 사용한 단어는 아니다).

위 이미지는 키네신(Kinesin)이 단백질을 수송하고 있는 모습이다. 키네신은 운동단백질의 한 종류로 진핵세포에서 발견된다. 키네신은 ATP 가수분해효소를 통해 ATP를 가수분해하여 미세소관 위를 움직인다. 운동단백질은 세포 내에서 물질을 운반하는 역할을 한다. 포도당과 같은 물질들이 운반되는 방법으로 수송소포에 의한 운반이 일어날 수 있지만 미토콘드리아와 같은 세포소기관은 운동단백질에 의해 운반된다. 키네신의 운반은 미세소관을 따라 일어나며 ATP 가수분해효소를 이용하여 ATP를 가수분해 시킬 때 나오는 에너지를 이용하여 다음 결합 자리까지 움직인 후 결합하는 것을 반복하여 물질을 운반한다. 실제 세포 내에서 일어나는 키네신에 의한 물질 운반의 대표적인 예는 뉴런에서 신경전달물질을 운반하는 과정을 들 수 있는데, 뉴런의 신경세포체에서 합성된 신경전달물질은 키네신에 의해 시냅스까지 운반되어 시냅스 틈으로 방출된다.
※미세소관(Microtubule): 진핵세포의 세포골격을 구성하는 세포 구조 중의 하나이자 구조단백질(Structural Protein) 중 하나이다. 미세소관은 튜불린(Tubulin)이라는 단백질의 이합체가 지름 25nm(Nano Meter)의 원통 모양으로 이루어져 있는 구조이다.
※가수분해(Hydrolysis): 화학 반응 시, 물과 반응하여 원래 하나였던 큰 분자가 몇 개의 이온이나 분자로 분해되는 반응을 말한다.
키네신은 뇌가 없다. 자신이 무엇을 수송하는지, 왜 수송하는지, 수송이 되면 어떻게 되는지 이해할까? 그럴 수 없을 것이다. 하지만 그러한 이해가 없더라도 저러한 수송은 가능할 수 있다. 현실의 어떤 배송업자도 자신이 무엇을 수송하는지, 왜 하는지, 수송이 되면 어떻게 되는지 몰라도 그것을 수송하고 나면 돈을 준다면 돈을 목적으로 수송할 수 있다. 키네신도 그저 일직선상의 수송이라면 뇌(판단이나 목적)가 없어도 그것이 불가능할 이유는 되지 않을 것이다. 키네신은 (시스템의 일부는) 목적은 없을 수 있지만 목적 없다는 것이 그 행위의 복잡성이 단순히 우연히 가능하게 되었다는 것을 설명해줄 수는 없다.
무기 화합물(無機化合物, 무기물)은 유기 화합물 이외의 화합물이며 생물적이지 않은 발생 최초의 형태의 화합물인 공기, 물, 돌, 모래, 석회, 광물 등 탄소를 포함하지 않는 물질을 의미한다.
유기 화합물(有機化合物, 유기물)은 구조의 기본골격으로 탄소 원자를 갖는 화합물을 통틀어 부르는 것이다. 예외로서 흑연과 다이아몬드 등의, 탄소의 동소체, 일산화 탄소, 이산화 탄소, 및 탄화 칼슘 등의 금속 탄화염, 사이안화 수소와 금속시안산염, 금속싸이오시안산염은 탄소를 중심으로 한 분자종이나 무기 화합물로 분류한다. 1828년 프리드리히 뵐러가 인공적으로 요소를 합성하기 전까지, 유기 화합물은 생체가 생산하는 화합 물질이라는 역사적 정의가 존재했기 때문이며 여기에 거론된 탄소 화합물은 당시부터 생체가 관여하지 않은 화합물로 발견되었기 때문에 무기 화합물로 분류되었다. 유기 화합물은 생물을 구성하는 요소로 없어서는 안 되는 존재이며 대표적인 유기 화합물로 단백질, 탄수화물, 지방, 핵산 등이 있다.
기(機, 틀 기)의 의미는 사전에서 기틀(어떤 일의 가장 중요한 계기나 조건), 고동(일을 하는 데 가장 중요한 사항이나 계기)으로 나온다. 무기(無機)와 유기(有機)의 차이는 간단히 목적성이라고 할 수 있을 것이다. 무기 화합물은 분자들의 인력과 척력에 의해 어떠한 목적성도 없이 그저 화합되어있을 뿐이지만 유기 화합물은 그저 인력과 척력에 의해 화합되기만 한 것이 아닌, 키네신(Kinesin)처럼 어떠한 목적성을 갖고 있다. 키네신은 단백질을 수송한다는 목적성을 갖었다(또는 가진 것처럼 보인다).
벽돌과 다이너마이트로 집을 지을 수 없듯, 생명의 창조를 그저 시간의 흐름에 따라 우연히 그렇게 되었다는 식의 설명과 이해는 너무 큰 간극이 있다. 태초의 생명에서부터 인간의, 복잡성의 차이보다도 무기 화합물에서 태초의 생명의 차이는 더 크다. 이것은 우연히 그렇게 됐다는 식으로 설명되고 이해되지만, 태초의 생명에서부터의 인간까지의 진보란 너무도 기적적인 일이긴 하지만 이것은 진화론으로 충분히 이해할 수 있다. 하지만 무기물에서 유기물의 창조, 무에서 유의 창조는 무엇으로 이해할 것이란 말인가? 가장 간단한 생명조차 그 생명의 유전자가 가진 기능의 복잡성은 인간이 가진 유전자의 기능의 복잡성과 별 차이가 없다.
※Genom(유전체) 분석 결과 인간과 침팬지 간은 96%, 고양이는 90%, 쥐는 85% 초파리는 61%, 닭과는 60%, 무려 바나나와도 60% 동일 한 것으로 알려져 있다. 이것이 사실이라면 우리는 이러한 정보를 이해할 때 인간과 침팬지 간 DNA 유전자의 배열이 4%를 제외한 나머지 96%는 동일하다는 것으로 이해하지만 사실은 그렇지 않다. 흔히 침팬지와 인간의 Genom(게놈)의 일치율은 99%라고도 알려져 있는데, 어떤 유전자가 인간에게는 있지만 침팬지에겐 없거나 그 반대의 경우가 있음은 당연하지만, 그 외의 총 4종류의 Adenine(A), Cytosine(C), Guanine(G), Thymine(T) 염기들의 배열로 이루어진 염기 서열은 거의 같다. 이 거의 같은 부분을 어떻게 해석하냐에 따라 Genom(게놈)의 일치율은 다르게 계산된다. 똑같은 것이지만 인간은 2번 반복되는 경우 같은 판단이 어려운 경우, 이런 부분을 빼버리고 비교하는데 이때 제외한 염기서열의 수가 13억 개에 달하고 남은 24억 개만을 비교한 결과가 98.77% 일치라는 결과가 된 것이다. 다시 말해 인간의 게놈 25%와 침팬지 게놈 18%를 무시하고 나머지 부분만 비교해 나온 게 바로 인간과 침팬지의 DNA가 99% 일치한다는 일치설인 것이다. 무시한 부분을 제외하더라도 99% 일치한다는 사실이 생물학적으로 가깝다는 것을 의미하는지는 알 수 없다. 같은 배열의 염기 서열이라도 그것이 인간과 침팬지에서 같은 기능을 하는지는 알 수 없기 때문이며 작은 벌레인 선충은 약 19,000개의 유전자를 가진 반면 비교적 정교한 행동양식을 가진 파리는 이보다 적은 약 13,000개의 유전자를 가지고 있다. 이는 유전자 수보다 유전자와 유전자 간의 상호작용을 통해 더욱 많은 정보(데이터, 압축)를 담아낼 수 있다는 것이다. 유전자 일치율이 높더라도 그것이 같은 기능을 하는지 알 수 없으며 같지만 다른 기능, 같지만 다른 상호 작용을 통해 다른 결괏값을 나타낼 수 있기에 생물학적으로 얼마나 가까운지 유전자 일치율만으로는 알아내기 어렵다.
러시아의 생화학자 알렉산드르 오파린(Алекса́ндр Ива́нович Опарин, 1894년 3월 2일~1980년 4월 21일)은 원시 지구의 대기가 목성과 비슷한 상태인 메탄, 암모니아, 수소, 수증기로 이루어져 있을 것이라고 가정하였다(원시 수프 가설). 이 성분들이 어떤 방법으로 유기물로 합성되었고 이 유기물들이 바다에 축적되는 과정에서 코아세르베이트라는 유기물 복합체가 생겼으며 이것으로부터 생명체가 탄생했다는 이론을 제시하였다.
※코아세르베이트: 여러 유기물이 모인 액체 방울 형태의 무생물, 생명체라고는 할 수 없지만, 외부 물질을 받아들이고 내부 물질을 밖으로 내보내기도 하며, 일정 크기 이상이 되면 둘로 분열되는 등의 특징을 보이기 때문에 원시 생명체의 기원으로 추정.
1953년, 미국의 화학자 스탠리 밀러(Stanley Miller)는 해럴드 유리(Harold Urey)와 함께 오파린의 이론을 확인하기 위해서 수증기, 메테인, 암모니아, 수소를 이용한 실험을 하였다. 화학 물질을 살균된 유리관과 플라스크로 이루어진 루프 형의 실험기구 안에 밀봉하고 실험기구 중에 플라스크 하나에는 물이 반쯤 채웠다. 다른 하나에는 한 쌍의 전극이 들어있으며 물은 가열하여 기화시키고, 수증기가 포함된 내부 공기 중에 불꽃을 튀겨, 자연의 번개를 흉내 내고 다시 공기는 식혀져서 수증기는 물이 되고 처음 플라스크로 돌아가는 이 과정을 계속 반복한다. 일주일 동안 계속 실험을 행한 결과, 10~15%의 탄소가 유기물질로 합성된 것을 확인하였고 2%의 탄소는 살아있는 세포의 단백질을 구성하는 아미노산 중에 몇 종류의 형태라는 결과도 확인하였다. 생성된 분자들은 완전한 살아있는 생화학적 시스템을 이루기에는 상대적으로 모자란 단순한 유기물질이었지만 밀러의 실험은 자연적인 과정만으로 생명체를 이루는 기본 요소들이 생성될 수 있다는 사실을 확립시켰다.
심해 열수구 가설은 생명의 기원에 관한 가설 중 현재 과학계에서 가장 유력한 것으로 받아들여지고 있다. 1977년에 잠수함을 통한 바닷속의 해저 열수구 탐사를 통해 과학자들은 이곳이 생명의 기원이었을지도 모른다는 가설을 제시하였다. 초기의 유기물들은 이 열수구 주위의 황철석 표면에서 생성되었으며, 대부분의 화학적 진화가 이곳에 축적된 유기물층에서 이루어졌을 것으로 여겨진다. 이 유기물층에서 일어난 반응은 생명체 내에서 일어나는 대사 활동과 흡사했으며, 생성물들은 초기 세포로 진화했으리라는 것이 이론의 입장이다. 실제로 섭씨 100도가 넘는 해저 열수구에서 고미 생물인 초호열성 메탄생성균이 살고 있어 생명 탄생설을 뒷받침한다. 이러한 해저 열수구 주변의 독립영양 박테리아들이 열수구에서 뿜어져 나오는 황 성분을 영양분으로 사용하는 것처럼, 초기 세포들도 이러한 물질들을 에너지로 사용했을 것으로 보고 있다.
그 외에도 화학 진화, 암석 모델, 진흙 촉매 가설, 작은 연못 가설, 운모 시트 사이 가설, 용암 가설, 배종발달설 등이 있고 자연발생설, 창조설은 폐기되었다. 즉, 아직 인간은 정확히 모른다. 그런데 생명 탄생의 비밀을 안다는 인식이 깔려있는 이유는 단세포에서 인간까지의 진화 과정이 너무도 기적적이며 진화론으로 설명되기에 그런 식이지 않겠는가 하는, 진화론을 전지전능한 신, 만능인 것처럼 확대해석하여 생명의 창조까지 우리가 이해하고 있다는 착각을 하는 것은 아닐까 생각한다. 밀러의 실험으로 생명체를 이루는 기본 요소들이 생성될 수 있다는 사실은 확인되었지만, 이는 사실 그러한 사실을 확인한 것이지 어떻게 가능했는지는 전혀 답을 얻지 못한 것이며 우리는 이해하지 못하고 있다. 이러한 사실 확인은 AlphaGo(알파고)에게 어떤 수로 이 바둑을 이길 수 있는지를 물어보는 것과도 같다. AlphaGo(Software)는 최선의 수를 알려주고 인간은 그것은 확인할 수 있지만, 어떻게 그러한 수가 최선의 수가 되는 것인지는 전혀 이해하지 못한다. 우리가 밀러의 실험으로 확인한 것은 마치 AlphaGo{Software, 신, 공(空), 물리 법칙}에게 그저 수증기, 메테인, 암모니아, 수소로 단순한 유기물질을 만드는 것이 가능한지를 물어보고 그렇다는 답을 얻었을 뿐이다. 어떻게 가능한지는 여전히 모른다. 모르는 것에 더불어 단순한 유기물질을 만들 수 있다는 사실에서 그것이 생명 탄생의 시작이라는 확대해석까지 한 것에 불과하며 그것을 확인한다고 해도 우리는 여전히 어떻게 그것이 가능한지는 이해하지 못한 것이다.
※AlphaGo(알파고)는 구글이 개발한 인공지능 바둑 프로그램으로 뇌에서 영감을 얻은 통계학적 학습 알고리즘인 인공신경망을 통해 바둑을 딥 러닝(심층 학습) 시켰고 2018년 12월 7일에 공개된 버전은 Alpha Zero(알파 제로)라고 불린다. Alpha Zero(알파 제로)는 하나의 알고리즘으로 바둑, 체스, 쇼기 등의 여러 보드게임을 할 수 있는 범용 인공지능이며 빅데이터 학습이 필요 없을 뿐만 아니라, 점점 강해지는 자신과의 게임을 반복하면서 스스로 빅데이터를 구축한다. 기존에는 수많은 기보(데이터)를 입력해주고 그것을 학습하면서 강해져왔지만, Alpha Zero(알파 제로)는 그러한 과정도 없이 그래야 했던 버전들보다도 더 강하다.
인간에게는 단순한 유기물질이 만들어질 수 있다는 것만이 증명된 것이고 이 이상을 증명해낸 적은 없으며 만들어질 수 있다는 것만을 확인한 것이지 그것을 이해한 것도 아니다. 단순한 유기물과 생명체란 것의 차이는 단순히 어떤 물품(단백질 등)을 배송(수송)할 수 있다는 행위와는 큰 차이가 있다. 그 수송한다라는 행위에 묶여있는 목적성(시스템)의 차이이다. 단순히 배송업자가 무엇인가를 일직선상으로 배송하는 정도는 우연에 의해서 발생할 수 있다고 받아들이기는 비교적 쉬우나 그 배송 시스템에 얽혀 있는 인터넷이라는 복잡성, 배송 시스템을 담당하는 프로그램의 복잡성이 단순히 우연으로 생겨났다는 것을 받아들이기는 어렵다. 이러한 배송 시스템을 갖추기 위해서 태초의 생명체에서부터 (최대) 38억 년이 걸렸다. 원시 지구의 환경에서 단순한 유기물이 발생할 수 있다는 사실에서 단순한 유기물이 발생하였으니 태초의 생명도 그런 식으로 발생하였을 것이라는 식의 이해는 어떤 동그라미 형태의 물질 하나가 굴러가는 것을 보고는 시간이 조금 지나면 우연히! 바퀴도 굴러갈 것이고, 자동차도 굴러갈 것이고, 인터넷도 생기고 배송 시스템도 생기고 그런 시스템에서 생기는 오류도 검증하는 기술도 생길 것이라는 비약적 확대 해석이다. DNA 복제를 담당하는 DNA 중합효소는 10만 번 중 1번꼴로 염기쌍 결함에서 오류가 발생하고 교정 기능에 의해서 교정된다. 교정 기능 또한 10만 번 중 1번꼴로 오류가 발생한다. 따라서 복제에서 오류가 발생하고 그것을 교정하지 못할 확률은 100억분의 1이 된다.
생명체에 존재하는 신경계라는 것은 인터넷과 같은 기술로 멀리 떨어져 있는 세포들이 서로 통신하는 통신선이다. 하지만 이 역시도 진화론이나 인터넷의 발달 역사를 생각하면 단순하고 비효율적인 구조에서부터 출발하여 진보하였을 것이라는 생각을 해볼 수 있다. 하지만 이것은 생각인 것이다. 생각이고 믿음이며 전제일 뿐이다. 증명하거나 확인한 것이 아니다. 이러한 생각을 창조론자들도 생각한다. 이러한 믿음을 창조론자들도 믿는다. 이러한 전제를 창조론자들도 전제한다. 진화론자들은 생명의 탄생이 진화론으로 증명된 것처럼 말하고, 창조론자들은 생명의 탄생이 창조론으로 증명된 것처럼 말한다. 그렇게 전제하고 믿고 생각하고 있을 뿐 인간은 아무것도 모른다. 그저 단순한 유기물이 생성될 수 있다는 것을 확인하였다. 그러한 사실에서 그저 두 가지 믿음만이 있을 뿐이다. 그리고 두 가지 종교만이 있을 뿐이다. 창조교와 진화교라는 종교 말이다.
키네신이 홀로 걷기만 하는 것을 보았다면 그것이 우연에 의한 것임을 믿는 것은 비교적 쉬울 것이다. 하지만, DNA가 단백질을 생성해내는 과정을 보고 있자면, 그런 거대한 인터넷과도 같은 네트워크가 세포들 사이에서 존재하며 어떠한 목적성을 가지고 서로 다른 세포들이 그 목적을 위해서 협력하고 기능한다는 것을, 단순히 우연에 의해 생겨났다는 설명을 믿는 것은 대단히 어렵게 느껴진다{그러므로 신이라는 존재가 설계(창조)하였다는 뜻은 아님을 다시금 강조하겠다}. 과학 신도와 종교 신도는 전부 아무것도 모르면서 그저 그러한 믿음을, 확인이나 증명 전에 사실이라고 전제하고 그러한 전제에 맞는 증거를 찾고 있을 뿐이다. 진실만을 말하자면 확인된 만큼 확인되고 증명된 만큼 증명되었다고 말할 수 있을 뿐이라 하겠다.

인간을 믹서기에 갈아서 물에 넣고 인간 수프를 만든다면 그 수프가 얼마나 시간이 지나야 다시 인간이 될 것인가? 그리고 그것이 어떻게 가능할 것인가? 과학 신도들은 그것이 가능하다고 말한다. 단순히 우연히 벽돌을 물속에 넣어두니 우연히 아주 정교하고 디자인 감각이 뛰어난 설계된 집이 물속에서 완성된다는 것이다. 어떻게를 물어보면 그저 우연이라는 두 글자로 그것이 가능하다고 한다. 진화가 우연히 가능했다고는 설명하지 않으면서 말이다. 과학 신도들은 진화는 우연이 아니며 그 원리를 설명해줄 것이다. 하지만 자신들이 모르는 것을 모른다고 말해야 할 때 그들은 우연이라는 단어를 사용한다.
위 영상은 우연히 일어난 교통사고에 대한 영상이다. 정보가 부족할수록 그것은 우연한 사고가 되지만 모든 퍼즐 조각이 모여 그 퍼즐이 완성된다면 그것은 우연이 아닌 필연임이, 안개가 걷히고 나면 보이게 된다. 일기예보를 보면 x~y시 사이에 z%의 확률(우연)로 비가 내릴 것이라고 예보한다. x~y시 사이에 비가 내리지 않아도 일기 예보는 틀린 것은 아니다. z%라는 확률은 필연은 아니기 때문이다. 확률은 우연스럽고 비가 내린다는 것은 결정된 사항이 아니며 비는 내리거나, 내리지 않는다는 불확정성을 가지며 일기를 예보하려고 하는 관찰자의 관점에서는 우연이 발견되는 것이다. 그러나 그러한 우연한 대상에게는 우연이 없다. 물은 기압에 따라 일정 온도에 도달하면 수증기가 되어 하늘로 올라가 구름이 되고 구름은 일정량이 모이면 다시 땅으로 떨어져 비가 된다. 이러한 과정은 물리 법칙에 의해서 필연적이며 비가 내린다는 현상에는 우연히 그러거나, 그러지 않는다는 확률(우연)이 개입할 틈은 없다. 무엇이든 예측하려고 할 때 그것에 대해서 우연스럽다고 생각되는 부분이 있다면 그것은 그 대상이 우연을 내포한다기보다는 그 대상을 관찰하는 관찰자의 정보(데이터)의 부족에 기인한 것이라고 할 수 있으며 우연은 필연에서 떨어져 나온 것이라 할 수 있다. 당구대에 당구공이 10개가 있고 일정한 속도로 굴러간다면 당구공의 입사각과 반사각을 컴퓨터로 계산하여 1시간 뒤에 당구공의 위치가 어느 곳에 있을지는 컴퓨터의 연산 능력이 충분하다면 계산해낼 수 있는 것처럼 결과란 우연한 것이 아니다. 하지만 우리가 살아가는 우주(또는 지구)라는 당구대는 너무나 크며, 그 우주 속에 존재하는 물질의 수는 너무도 많음에 더불어 너무도 많은 물질들 간의 상호작용의 수는 그러한 많은 수에 다시금 서로를 곱셈해내어 그 경우의 수는 기하급수적으로 커지게 된다. 그러한 모든 경우의 수를 전부 계산해낸다는 것은 (현재로서는) 불가능하며 불가능하기에 그러한 필연들은 우연이라는 단어로 대체되는 것이며 우연은 상대적이며 관점의 차이일 것이다. (아마도) 신(우주)의 관점에서는 모든 안개가 걷히고 우연이란 단어는 존재치 않으며 필연만이 관찰될 수도 있을 것이다.
과학 신도들은 사실은 이유를 모르기 때문에 우연이라고 하는 것도 있겠지만, 신{공(空)}의 존재를 결단코 인정하기 싫은 유물론자이기 때문이기도 할 것이다.
모든 것을 신이 만들었다면 모든 것의 시작점인 빅뱅이 신일 것이다. 우리는 여전히 빅뱅의 증거를 확인한 것이지, 빅뱅을 이해한 적은 없다. 빅뱅이 신이라면 빅뱅은 누가 만들었는가? 신의 신은 누구냐고 묻는다면 빅뱅을 가능케 한 물리법칙이 신의 신일 것이다. 빅뱅은 색의 계층에서 일어난 현상이며 그 현상의 원인은 색의 계층에서 감각할 수 없는 공의 계층에 존재하는 것이며 색의 신은 공이 되며, 그러므로 색계는 인간계(결과계)라고 할 수 있고 공계는 신계(원인계)라고 할 수 있다.
※불교에서는 욕계(欲界), 색계(色界), 무색계(無色界)라는 3계(三界)로 계층을 나눈다. 이러한 불교의 개념으로 보자면 본문에서 말하는 색(물질)계와 공(비물질)계는 전부 불교에서는 색계(色界)에 해당하며 색계라는 단어에서 의미 차이가 발생하게 되는데 그 이유는 불교의 반야심경에 쓰인 다음과 같은 구절을 보면,
色不異空 空不異色 色卽是空 空卽是色
색불이공 공불이색 색즉시공 공즉시색
공과 다르지 않고, 공이 색과 다르지 않으며 색이 곧 공이고 공이 곧 색이다
라는 이 구절 그대로 색(色)은 공(空)과 완전히 동일한 것이며 공(空) 또한 색(色)이라고 본다. 이 구절의 의미는 불교에서 말하는 색(色)의 구별이란 그것이 물질이냐 아니냐 하는, 시공간에 존재하는가 안 하는가가 아닌 그것이 시공간이라는 계층을 초월하여 다른 계층에서 존재한다고 하더라도 그것(비물질)은 물질과 비물질 모두, 물질과 다를 바 없이 존재한다는 것에서 그 둘을 동일하게 본다. 즉, 색의 구별은 물질이냐, 비물질이냐로 구별하는 것이 아닌 존재하냐, 하지 않냐로 구별한다고 할 수 있다. 존재하므로 색(色)이라는 것이다. 색계(色界)란 존재들이 존재하는 계층을 말하며 무색계(無色界)란 그러한 모든 존재를 초월하는 또 다른 계층이다. 이에 대해서는 다른 글에서 추후에 적도록 할 것이다.
창조 신도가 생명이 창조되었다고 할 때 과학 신도는 진화론에 의한 것이라 하니 창조 신도가 그 진화론이 창조의 방법이라고 하였다. 또한 창조 신도들은 우리의 지구가 너무도 특별하여 누군가 이것을 설계하지 않고는 이렇게 될 수 없다는 믿음을 갖은 적도 있는데 과학 신도들은 전 우주의 수많은 행성들을 확인해내고 지구는 설계가 아닌 그저 확률, 우연에 의해서 가능한 것으로 증명해냈다. 지구의 특별함이란 태양과 지구와의 거리가 왜 어떻게 이리도 완벽한 거리이냐는 것이다. 조금이라도 더 멀면 지구의 물은 전부 얼어붙고 조금이라도 더 가까우면 물은 전부 증발할 것인데 왜 어떻게 이것이 가능하냐는 것이며 지구와 달과의 거리 또한 마찬가지이다. 달의 중력은 지구에 영향 주고 달 또한 더 멀었다면 지구의 중력으로 붙잡아둘 수 없어 멀어질 것이고 가깝다면 지구와 서로 끌어당겨 충돌할 것이므로 달은 없었을 것인데 말이다. 달이 없다면 조수 간만의 차 현상은 사라지고 남북극의 얼음이 전부 녹는 등의 기후 변화나 하루가 11시간으로 짧아지는 등의 변화가 생긴다. 이런 변화는 달이 없었다면 인간이라는 종이 탄생하지 않을 수도 있었다는 것이며 누군가가 이러한 것들을 설계한 것이 아니냐는 믿음이다. 이러한 믿음은 우주에 존재하는 수많은 행성계의 수에 의해 그저 우연으로 그러한 거리에 있게 된 것이 지구라는 설명이 가능하게 되었다.
로또 복권은 45개의 숫자 중 6개의 수를 전부 맞추면 1등이 되는 복권인데, 로또 1등에 당첨될 확률은 (6/45)×(5/44)×(4/43)×(3/43)×(2/41)×(1/40)인 1/8,145,060이다. 이러한 복권을 단 1명이 1장만 사서 1등에 1번에 당첨되었다고 한다면 누군가 그 당첨 번호를 아는 존재(신)가 그것을 미리 알려준 것으로 생각하는 것이, 1장만 사서 우연히 당첨되었다고 믿는 것보다도 합리적이다. 그렇지 않았을 확률이 8,145,059/8,145,060이기 때문이다. 그래서 우리가 우주에 행성계가 얼마나 많은지 관찰할 수 없던 때에는 신을 믿는 것이 합리적인 인간이 내릴 수 있는 더 합리적인 결론에 가깝다. 하지만 우주를 실제로 관측해보니 은하 중 작은 것들은 약 1천 만개 이하의 항성, 큰 것들은 약 100조 개에 달하는 항성들을 가지고 있는 것으로 확인하였고 관측 가능한 우주에는 이러한 은하가 약 1,700억 개 이상 존재하는 것으로 추측한다. 이런 상황은 마치 1/8,145,060의 당첨 확률의 복권을 (대충) 1,700억 개는 산 것과도 같고 약 20,000개는 당첨될 것이다. 이것은 어떤 설계자가 존재한다기보다 우연에 의해서 그렇게 됐음을 믿는 것이 더 합리적인 결론에 근접한다(가깝다).
태초의 생명의 탄생에 관해서는 인간은 단순한 유기물이 생성될 수 있다는 것만을 확인하였고 창조 신도들은 현재 기고만장하다. 과학 신도들은 창조 신도들이 기고만장한 것이 마음에 들지 않으며 또한 이러한 태초의 생명의 탄생 과정을 전부 확인해낸다고 하더라도 여전히 진화론이 세상에 나왔을 때 그것이 신의 창조 방법이라고 태도를 바꾼 것과 동일하게 그것이 신의 창조 방법이라고 할 것이며 확인을 넘어서 완전히 이해하게 되었을 때마저도 그것은 신(물리 법칙)에 의한 것이라고 할 것이다. 물리 법칙은 결과의 원인이 되는데, 물리 법칙은 신이 만든 것이고 그러한 모든 것이 결국 신의 설계라는 것이다. 또한 창조 신도들은 물리 법칙들 또한 태양과 지구의 거리만큼이나 너무도 특별한 수치를 갖는 것처럼 보인다고 주장한다. 우주가 생명이 존재하기 위해서 미세 조정되어 있는 것처럼 보인다는 것이다. 우주에 생명이 존재하기 위해서는 특정 물리학의 기본상수들이 매우 좁은 범위 내에 존재하며 여러 기본상수들이 지금의 값과 조금이라도 달랐다면 우주는 물질을 만들어내거나, 천체 구조를 발달시키거나, 다양한 원자가 존재하거나, 현재 우리가 생각하는 개념의 생명이 존재하기는 어려울 것이라고 한다.

이러한 미세조정은 러시안룰렛에 비유할 수 있다. 러시안룰렛이란 6발의 장탄 수를 가지는 리볼버에 1개의 총알만 넣고 실린더를 돌린 뒤, 서로 돌아가며 총을 자기 머리에 대고 방아쇠를 당기는 것이다. 자기 머리에 대고 쏜다면 1발째에는 1/6(16.66%)의 확률로 죽을 것이며 5/6(83.33%)의 확률로 살아남을 수 있을 것이다. 1개의 총알이 아니라 5개의 총알을 실린더에 채운다면 5/6(83.33%)의 확률로 죽을 것이며 1/6(16.66%)의 확률로 살아남을 수 있다. 상당히 위험한 확률이 된다. 하지만 미세조정이라는 러시안룰렛에 비하자면 이마저도 너무도 인도적인 확률이 된다. 미세조정이라는 러시안룰렛은 1020(1해)의 총알을 채울 수 있는 실린더에 딱 한 알의 총알을 빼고 러시안룰렛을 하는 것이다. 살아남을 수 있는 확률은 1/1020이 된다. 이러한 확률에서 이 세상이 그저 우연히 이렇게 설계됐다고 말하는 것이란 1/1020의 확률로 살아남는다는 러시안룰렛을 하겠다는 멍청이와 다를 바 없다. 우연이 아니라는 쪽에 거는 것(창조)이 정상적인 지능을 가진 합리적인 인간이 내릴 수 있는 판단에 근접하는 것이 된다.
물리학자 폴 찰스 윌리엄 데이비스 AM(Paul Charles William Davies AM)은 현재 물리학자들과 우주론 학자 사이에서는 우주가 생명에 대하여 미세조정 되었다는 광범위한 합의가 존재한다고 단언하였지만, 이 결론은 우주가 생명을 위하여 미세조정 되었다는 것을 의미하지는 않는다고 하였다. 그는 오히려 생명이 필요로 하는 구성 요소와 환경을 위하여 미세조정 되었다고 보아야 한다고 하였고 또한 인간 추론은 생명이 존재할 수 있되 그 존재가 매우 미미한 생물 친화적 우주와 생물발생이 빈번하여 생명이 흥성하는 최적 생물 친화적 우주를 구분하는 데 실패했다고 언급했다.
이러한 데이비스의 말을 조금 더 쉽게 이해하는 방법으로, 영국의 소설가 더글러스 애덤스(Douglas Noel Adams)가 비유한 물웅덩이의 생각을 읽어보면 좋을 것이다. 다음과 같다. 물웅덩이가 아침에 깨어나서 이렇게 생각하는 것을 상상해 보자. '참 내게 맞는 재밌는 세상, 내게 맞는 재밌는 구멍이야. 아주 편안하게 내게 딱 맞지 않아? 사실, 내게 딱 들어맞게 존재하는 바닥의 이 구멍은 내가 여기 있도록 만들어져 있는 게 틀림없어!' 이윽고 태양이 하늘에 떠올라 공기가 데워지면서 그 웅덩이가 점점 작아지지만, 그 웅덩이는 아직도 이 세상은 자신이 그 구멍에 고여 있도록 만들어져 있기 때문에 모든 것이 잘 될 것이라는 생각을 놓지 못한다. 그 웅덩이는 자신이 사라지는 순간에야 깜짝 놀라게 될 것이다. 나(애덤스)는 이런 생각을 경계해야 한다고 본다.
우리는 인과를 지각(Crust)의 계층에 국한하여 지각(知覺)하는 경향이 짙기에 웅덩이의 모양이라는 인과를, 물웅덩이인 자신의 모양에 너무도 알맞다는 왜곡이 발생할 수 있다.
이러한 비유는 추수감사절 전까지의 칠면조의 생각과도 같다. 칠면조(인간)는 자신이 태어나서부터 매일 자신을 돌봐주고 먹이를 주는 인간(우주)을 좋은 사람, 자신을 사랑하는 존재라고 생각할 수 있지만 이러한 착각은 추수감사절이 오면 끝이 난다. 그런 줄 알았던 인간들이 칼을 들고 자신을 찢어발겨 음식으로 만드는 것이다. 즉, 우리의 인간 추론에 의한 인간 중심적인 관점이란 편향되어 있어서 추수감사절이라는 끝이 있는 것인지, 아닌지를 구별하는 것에 실패하였다는 이야기이기도 할 것이다.
이런 대립에 있어서 현재 중요한 스모킹 건(결정적 증거)은 다중 우주의 존재이다. 진화론의 발견으로 이런 정교한 생물들이 우연(확률)에 의해서 그런 진화가 가능함을 시도 횟수(적자생존, 자연도태)라는 것으로 설명할 수 있게 되었다. 그 확률이 낮더라도 1만분의 1이란 1만 번에 1번은 그것이 가능하다는 것이기 때문이다. 시도 횟수가 늘어난다면 우연은 더 이상 우연이 아닌 필연이 되기에 우연이라는 단어를 치워버릴 수 있다. 현재 과학 신도들이 우주에서 우연이라는 단어를 치워버리기 위해서 다중 우주(적자 우주, 우주 도태)의 가능성, 존재가 확인되어야 한다. 서로 다른 우주들은 중력을 통해 영향을 줄 수 있고 팽창하다가 만나면 흔적을 남기게 된다고 하며, 이런 흔적을 찾으려는 구체적인 시도들 진행 중이지만 현재까지는 찾지 못하였다. 즉, 우리가 진화론을 알기 전에는 합리적인 인간이라면 신이 만들었다고 하는 것을 믿는 게 더 옳았고 진화론을 알게 된 후에는 신을 믿지 않는 것이 합리적인 판단이며 현재 이러한 미세조정 우주가 우연이라는 증거 없이는 신을 믿는 것이 더 합리적인 판단이 된다. 다중 우주가 발견된다면 그것은 다시금 우연이 아닌 필연이 되어 신의 존재는 필요치 않을 것이다. 과학 신도들은 신의 존재가 아주 마음에 안 들어서 그것을 부정하기 위해서 다중 우주의 흔적을 찾고 있으나 아직 발견하지 못하였다. 현재로서는 합리적인 인간이라면 신을 믿는다고 하는 것이 더 합리적인 판단에 해당하게 될 것이다.
만약 다중우주의 흔적을 발견하게 된다면 어떨까? 진화론의 발견 후 창조 신도들이 그 진화론이 생명을 창조하는 신의 방법이라고 하였듯이 여전히 다중 우주라는 방법이 우리 우주를 창조하는 방법이라고 하지 않을까? 인간도 어떤 것의 개발을 위해서 단 1번 시도하는 일은 없으니 말이다. 실패는 성공의 어머니라는 말도 있듯이 수많은 실패작은 결국 성공작을 위해서 존재하는 것이니 다중 우주들은 신의 수많은 실패작일 수도 있다. 미세 조정된 단 하나의 우주라는 성공작을 만들기 위해서 말이다. 다중우주의 흔적을 찾는다고 하여도 여전히 창조 신도들은 입을 닫지는 않을 것이다.
진화론을 찾아내었듯이 다중 우주의 흔적을 찾게 된 어느 미래에도 창조 신도들은 여전히 그것이 신의 창조 방법이라고 할 것이며 과학 신도들은 아니라고 할 것이다. 신의 존재를 부정하기 위해서 과학 신도들이 마지막으로 풀어내야 할 과업이란 색의 비밀이 아닌 공이 비밀이 된다. 색의 비밀은 공(신, 원인)으로 설명되고 공의 비밀이란 또 다른 계층으로 설명될 것이다. 과학 신도들이 종교 신도의 입을 닫게 할 비밀이란 무엇일까? 그것은 색의 계층에서 살아가는 인간이라는 관점에서는 영원히 알 수 없는 것일 수도 있다. 우리는 색의 계층에 영향 주는 공의 계층의 존재까지는 감각은 하지 못하더라도 매개체로 하여금 그것의 존재는 인지는 할 수 있다. 색의 계층이 왜 그러한지에 대해서는 수식으로 이루어진 어떤 물리 법칙들로 설명하고 이해해낸다. 그렇다면 공의 계층이 왜 그러한지는 무엇으로 설명하고 이해해낼 것인가? 이것은 사실 신의 신이 누구인지 묻는 것과 같다. 과학 신도들은 신(결과)을 만드는 법칙이 있으니 신이 없다고 주장하고, 종교 신도들은 그러한 법칙을 만든 신이 있으니 신이 있다고 한다. 과학 신도들이 또 그런 신의 신에 대한 법칙을 찾아내어 한 발 내디디면 종교 신도들은 한발 뒤로 물러나서는 다시금 여기까지 내디뎌 보라고 하는 것이다. 그런 종교 신도들은 신의, 신의, 신마저도 여전히 있다고 할 것이다. 하지만 과학 신도들은 신의 신도 찾기가 버거우며 그것을 찾든, 찾지 못하든 간에 과학교와 종교교라는 두 종교는 영원히 대립할 것임에는 의심의 여지가 없다.
시방(十方)이란 8괘에 위(上)와 아래(下)라는 계층을 모두 더한 64괘를 의미하는 것이다. 8괘는 사물을 상징하고 64괘는 사건을 상징한다. 8괘는 단순히 자동차라면 64괘란 교통사고(Accident)이다. 자동차의 구성 요소를 보면 자동차를 만드는 재료가 무엇인지와 같은 시공간에 존재하는 물질적인 것들이다. 또는 그런 물질들이 작용하는 어떤 법칙들일 수도 있다. 하지만 교통사고를 구성하는 요소를 보면 시공간에 존재하는 것이 아닌 비물질적인 구성 요소들로 이루어져 있다. 그 교통사고가 위법한지에 대해서는 위법성, 구성요건 해당성, 책임을 따진다. 위법하지 않더라도 사유재산권 존중의 원칙, 자기책임의 원칙, 무과실 책임의 원칙에 의해서 교통사고의 책임이 있는 자는 민사적으로 배상하여야 한다. 이러한 원칙들은 물질적인 것이 아닌 이데아적인 것이며 이런 물질과 비물질을 전부 포함하여 64괘라고 하며 불교에서는 물질과 비물질의 구별 없이 그것들이 존재하므로 색(色)이라고 부른다. 즉, 시방(十方)이란 색(色)을 말하는 것이다.

또한 이러한 64괘로 이루어진 Cube(큐브)에는 방향성이 없다. 우리가 8괘를 Base(밑, 토대)라고 생각하는 것도 그저 인간 중심적인 관점일 수 있다. 우리가 인간이므로 우리는 인과를 지각(Crust, 인간)의 계층에 국한하여 지각(知覺)하는 경향은 중력과도 같다. 이러한 시방(十方)에 전세(前世), 현세(現世), 내세(來世)라는 시간 축을 더 한 것이 시방삼세(十方三世)이며 전세란, 전생에 어느 시대에 귀족이었다느니 하는 것이 아닌, 현세를 가능케 한 모든 물질{8괘, 색(色)}과 모든 계층{8괘, 공(空)}의 인과{64괘, 불교상 색(色)}를 말하는 것이다. 전세, 현세, 내세라는 구분 또한 인간의, 지각의 한계에 해당할 수 있다. 이것은 Ouroboros(우로보로스)라는 뱀처럼 시작도 끝도 구별할 수 없을 것일 수도 있다. 정신은 육체, 육체는 정신에 영향을 주는 양방향의 통로이듯 육체{색(色)}는 정신에 의해서 움직이기도 하지만 정신{공(空)}은 육체에 의해서 제한되기도 한다. 공의 계층의 존재들이 색의 계층의 원인이 되는 것만은 아닐 수도 있다. 이러한 구분은 위와 아래를 구분하는 인간 중심적인 관점일 뿐이다. 우주에서 위란 어디이고 아래란 어디인가? 모든 방향이 위이면서도 아래가 아니겠는가? 인간은 인간이라는 관점에 갇혀 항상 왜곡과 편향에서 자유로울 수 없다. 이만 글을 마친다.
'목록 > 잡다한 아무 생각' 카테고리의 다른 글
| ☯태극이란 무엇인가? (0) | 2024.07.17 |
|---|---|
| 돈오점수(頓悟漸修)와 돈오돈수(頓悟頓修), 깨달은 척 하지 말라. (0) | 2024.07.16 |
| 관점에 따른 정의(正義)의 차이 (0) | 2024.07.16 |
| 정의(正義)란 무엇인가? (0) | 2024.07.16 |
| 고(苦)란 무엇인가? (0) | 2024.07.16 |
| 신은 어디서 왔는가? (0) | 2024.03.23 |
| 긍정적인 인간은 자신의 운명을 사랑한다. (0) | 2024.03.18 |
| 삶에서 가장 시급한 일 (0) | 2024.03.18 |